Расчет частоты индукционных тигельных печей производится исходя из выражения для определения глубины проникновения тока в загрузку:
, (61)
где ρ - удельное сопротивление загрузки,
μк - относительная магнитная проницаемость загрузки,
μ0=4π·10-7 Гн/м – магнитная проницаемость вакуума,
f - частота питающей сети, Гц.
Из (61) частота ИТП в общем виде равна
(62)
Выражение для fmin зависит от значения некоторого характерного размера (аргумента):
(63)
где d ш - средний диаметр кусков шихты, м;
Δ ш - глубина проникновения тока в шихту, м.
Заменив Δ на Δ ш и выразив Δ ш через m2 , определяют f min.
При нагреве стали изменяются ее удельное сопротивление и магнитная проницаемость.
Магнитная проницаемость слабо зависит от температуры примерно до 650°-700°С, после чего быстро уменьшается и достигает значения, примерно равного проницаемости вакуума. В приближенных расчетах обычно считается, что она падает скачком до μ=1 в точке магнитных превращений (точке Кюри), примерно соответствующей температуре 750°-770° С.

Рисунок 7. Зависимость относительной магнитной проницаемости и удельного сопротивления от температуры для среднеуглеродистой стали.
На рис. 7 исходное значение магнитной проницаемости принято равным 16, что объясняется применением при индукционном нагреве весьма сильных магнитных полей. Часто ее исходное значение составляет 5 − 6. Зависимость удельного сопротивления от температуры для стали с содержанием углерода 0,4 - 0,5 % приведена на том же рис. 7. Из кривой видно, что в промежутке 15°-800° С удельное сопротивление возрастает примерно в 5 раз. В дальнейшем рост удельного сопротивления замедляется, причем значения его для разных сортов стали становятся почти равными.
(64)
Индекс «к» указывает, что значения соответствующих величин относятся к температуре, превышающей точку магнитных превращений. Глубину проникновения тока в этом случае будем называть горячей глубиной проникновения тока.
В качестве примера на рис. 8 приведено изменение удельного сопротивления для чистых металлов.

Рисунок 8. Зависимость удельного электрического сопротивления некоторых металлов от температуры.
В печах, загружаемых кусковой шихтой, в начале плавки индуктируемые токи замыкаются внутри отдельных кусков, поскольку они имеют плохой электрический контакт между собой. Наиболее неблагоприятным моментом плавки считается момент, предшествующий сплавлению отдельных кусков в монолит, когда относительная магнитная проницаемость μr=1, а удельное сопротивление существенно возросло по сравнению с исходным холодным состоянием. Исходя из рекомендаций, в этот момент целесообразно принимать
.
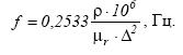
Приводится формула Нортрупа для ориентировочной оценки без учета электрического КПД:
(65)
Однако, должно существовать такое минимальное значение частоты, которое обеспечивает максимальную величину общего электрического КПД.
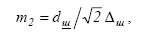
Эта частота должна соответствовать аргументу 
Анализ, показывает, что значение fmin, допустимое с точки зрения эффективности нагрева, находится в районе значений аргумента 
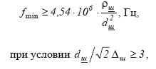
При плавке кусковой шихты без остаточной емкости (G0=0) минимальная частота определяется при условии
(66)
где ρ ш - удельное сопротивление расплавляемого материала при температуре, несколько меньшей температуры плавления, т.е. при температуре спекания отдельных кусков шихты в монолит, Ом·м.
При этом, обеспечиваются минимально приемлемые условия нагрева.
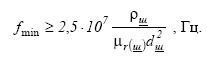
По рекомендациям минимальная частота печи с кусковой шихтой определяется по выражению
(67)
где ρ ш - удельное сопротивление шихты при температуре потери магнитных свойств.
Определив fmin, производят предварительный расчет частоты, исходя из шкалы частот источников питания электротермических установок – 50, 500, 1000, 2400, 4000, 8000, 10 000 Гц.
В тех случаях, когда выбор частоты ограничен в связи с наличием определенных источников питания, может оказаться целесообразным изменение гранулометрического состава шихты, увеличение среднего диаметра кусков.
Сделаем выводы о проделанной работе.






