5.5.1 Общие положения
Информация об операциях должна быть представлена, если наборы данных, содержащие координаты, использующие разные координатные системы отсчета, должны быть объединены. Различаются два типа операций:
- перевычисление координат из одной координатной системы в другую при неизменных датах; в этой операции значения параметров являются точными;
- трансформирование координат из одной системы в другую при их различных геодезических датах. При этом трансформирование отличается от перевычисления тем, что значения параметров трансформирования определяются опытным путем, поэтому они могут иметь несколько различных оценок или реализаций.
Изменения координат одной координатной системы отсчета при переходе к другой происходят в результате операций, состоящих из одного или более трансформирования и одного или более пересчета.
Описание операций является обязательным, если координатные системы являются проекционными и не приведены ссылки на описание координатной системы отсчета и системы координат.
|
|
|
Операции должны быть описаны в наборе данных в порядке их следования.
5.5.2 Перевычисление координат
Перевычисление геодезических координат в плоские прямоугольные координаты широко используют при картографическом проектировании. Перевычисление также используют для изменения единиц измерения или сдвига начала отсчета плановых координат для создания локальной картографической сетки. Перевычисление координат не изменяет значения дат, так как оно использует математические функции, не влияющие на точность значений координат.
Перевычисление координат должно включать:
- картографическое проектирование, которое является методом, использующим математические функции для перевычисления геодезических координат (исключая высоты) в двухмерные плановые координаты и наоборот;
- перевычисление геодезических координат (включая высоты) в трехмерные прямоугольные координаты и наоборот;
- перевод единиц из одной системы в другую с помощью коэффициентов или алгоритма (например, радианов в градусы, минут в секунды, метров в футы);
- параллельный сдвиг начала координат для получения местной координатной основы. Картографическая проекция является особым случаем перевычисления координат с эллипсоида на плоскость. Для координат, принадлежащих к системе координат, полученных путем проектирования, описание перевычисления должно быть обязательным.
5.5.3 Трансформирование координат
Координаты допускается трансформировать путем приведения их к другим датам. При этом системы координат имеют один и тот же тип (например, обе геодезические или обе прямоугольные). Трансформирование проводят посредством метода, имеющего определенный алгоритм. Каждый алгоритм имеет соответствующий набор параметров. Так как значения параметров могут быть определены опытным путем, они зависят от измерений и их погрешностей. Допустимы разные варианты трансформирования между двумя датами.
|
|
|
Описание трансформирования не является необходимым для описания координатной системы отсчета. Может быть полезным описание трансформирования, которое уже было применено к координатам, или трансформирования из прежней системы в определяемую пользователем стандартную координатную систему отсчета.
5.5.4 Операция объединения
Преобразование координат из одной системы отсчета в другую может сопровождаться операциями, состоящими из одного или более трансформирований и/или одного или более перевычислений.
Объединение приводит к изменению координат вследствие нескольких трансформирований и/или перевычислений.
В маркшейдерской практике перевычисление координат пунктов из одной системы в другую возникает большей частью при привязке самостоятельных сетей к государственной геодезической сети или после новых работ по развитию сетей высших классов, приведших к изменению исходных данных для вычисления маркшейдерской геодезической сети.
Во всех случаях исходными для перевычисления служат пункты, имеющие координаты одновременно в старой и новой системах. Минимально необходимо иметь два исходных пункта, по координатам которых могут быть определены параметры перевычисления — новые координаты начала старой системы, угол поворота координатных осей и масштабный множитель. При наличии двух исходных пунктов перевычисление сети производится без нарушения ее подобия.
' С целью контроля правильности перевычисления координат и для суждения о качестве перевычисляемой сети обычно стремятся использовать более двух исходных пунктов. В этом случае перевычисление сопряжено с некоторым нарушением подобия сети вследствие наличия неизбежных погрешностей в координатах исходных пунктов.
Переход к новой системе координат во всех случаях может быть выполнен путем переуравнивания существующей геодезической сети с учетом новых исходных данных. Однако этот путь из-за трудоемкости не является наилучшим и поэтому перевычисление координат в новую систему целесообразно производить по специальным формулам, рекомендованным Инструкцией [22] и приведенным ниже.
1. Перевычисление координат при наличии двух исходных пунктов.
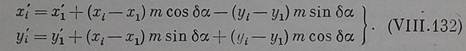
Даны координаты п пунктов 1, 2, 3,..., t,..., п в старой системе хи ylt х2, у2, *з» Уз > • • •>Ц§ У«. ♦ • •> уп и координаты пунктов I и 2 в новой системе х[, у[> ж2, у2.
Требуется вычислить координаты (и — 2) пунктов 3, 4, 5,.. п в новой системе: Ц Ц..., Щ у’п.
Используя координаты пунктов 1 ж 2 в старой и новой системах, дважды решаем обратную геодезическую задачу для стороны 1 — 2:

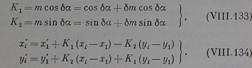
| Затем находим угол поворота координатных осей ба и масштабный множитель т |
|
Для перевычисления координат используются известные формулы аналитической геометрии


Вводя обозначения

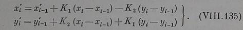
получим
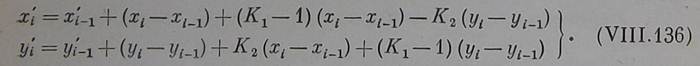
В формулах (VIII..134) исходным служит пункт 1. Однако практически бывает удобнее производить перевычисление, переходя в любой последовательности от пункта к пункту, применяя формулы

При малом угле поворота координатных осей ба коэффициент Кх близок к единице, вследствие чего целесообразно вычислять ие сразу приращения координат в новой системе, а поправки к ним, которые представляют собой малые величины. В этом случае формулы (VIII. 135) принимают следующий вид:

| Дирекционный угол и длину любой стороны сети в новой системе жоординат вычисляют по формулам |
|
и, кроме того, они могут быть найдены из решения обратных геодезических задач, что используется для контроля вычислений.
|
|
|
2. Перевычисление координат при наличии более двух исходных пунктов.
При малом угле поворота координатных осей, когда колебания разностей координат пунктов в старой и новой системе не превышают
2 м, целесообразно применение графического способа. Для зтого вычисляют поправки координат п исходных пунктов

Затем в масштабе 1: 25 ООО или крупнее вычерчивают схему расположения исходных и перевычисляемых пунктов в старой системе координат и возле исходных пунктов выписывают значения поправок Ъх{ и 6у1у найденных по формулам (VIII.138). Используя дх( и бу1 исходных пунктов, путем интерполирования проводят на схеме сети и вычерчивают разными цветами изолинии поправок Ьх и 8у с интервалом через 1 дм или даже 1 см. Поправки Ьх и Ьу перевычисляемых пунктов находятся по схеме графически, после чего искомые координаты получают по формулам

Заметим, что чем меньше искажается подобие сети при перевычислении, тем ближе система изолиний поправок координат будет к сетке квадратов.
Длины и дирекционные углы сторон сети в этом случае находятся только путем решения обратных геодезических задач.
Если поправки координат Ьх{ и 6Щ исходных пунктов колеблются более чем на 2 м, то перевычисление координат в новую систему целесообразно выполнять графоаналитическим способом. Для этого выбирают два исходных пункта, по возможности более удаленных друг от друга, и, используя их координаты в обеих системах, решают между ними обратные геодезические задачи и вычисляют по формулам (VIII.131) и (VIII. 133) значения Кх и К2. Затем по формулам (VIII.135) или (VIII. 136) находят в новой системе приближенные координаты х\ и у] всех исходных и перевычисляемых пунктов. Координаты Ц и у1 исходных пунктов (за исключением двух, использованных при нахождении Кг и К2) будут отличаться от данных координат х\ и Щ на небольшие величины

Дальнейшее решение ведут графическим способом, как было описано выше. Для этого, используя и б у} исходных пунктов, вычерчивают на схеме сети систему изолиний поправок и находят графически по схеме поправки Ьх\ и Ьу\ перевычисляемых пунктов. Окончательные координаты перевычисляемых пунктов получают по формулам
|
|
|
х\ =х'1 + Ьхг, yl = y"i-\rbyl. (VIII.140)







