Делить денежную массу на
,
,
,
необходимо, если нужно обеспечить государственное регулирование объема денежной массы и не допускать непредвиденной инфляции (рост цен).
При обращении денег важно не только количество абсолютно ликвидных денег М1, но и то количество денег М2, которое быстро может превратиться в М1. Также и М3 может при некоторых условиях стать средством платежа М1.
С помощью распределения денежной массы на агрегаты Центральный банк РФ оказывает влияние на денежную массу М1, повышая ее или снижая (или сдерживая ее рост).
Пример. В случае высокой инфляции ЦБ проводит политику по уменьшению денежной массы М1. Для этого ЦБ продает по поручению правительства государственные ценных бумаги крупного номинала других фирм, банков, т. е. М1 — М3 (денежная масса М1 уменьшается).
Для населения ЦБ РФ продает ценные бумаги меньшего номинала и М1 — М2, денежная масса М1 уменьшается.
Правило: если деньги уходят в банковскую систему на срочный вклад или в бюджет, денежная масса М1 уменьшается, деньги покидают сферу обращения М1.
|
|
|
Если ЦБ РФ повысил процент ставки, по которой проводится кредитование банков, в свою очередь коммерческие банки поднимают процент ставки по срочным вкладам.
Людям (вкладчикам) стало выгодно делать срочные вклады — М2 повышается, а М1 уменьшается — инфляция сдерживается.
На срок вклада деньги ушли в распоряжение банковской системы (- М2).
Коэффициент монетизации
Важным показателем состояния денежной массы выступает коэффициент монетизации, равный
.
Коэффициент монетизации позволяет ответить на вопрос: достаточно ли денег в обороте? Он показывает, насколько валовый продукт обеспечен деньгами (или сколько денег приходится на рубль ВВП).
В развитых странах коэффициент монетизации достигает 0,6, а иногда близок к единице. В России этот показатель едва достигает 0,1.
Платежная система – это совокупность организационных форм, инструментов и процедур, способствующих денежному обращению.
Платежная система включает инструменты порядок, формы и правила расчетов в Российской Федерации. Функционирование системы регулируется Гражданским Кодексом РФ, ФЗ О Центральном банке РФ (Банке России), О банках и банковской деятельности и документами ЦБ РФ. Структура платежной системы России приведена на рисунке. Платежный оборот делится на налично-денежный и безналичный
Структура платежной системы Российской Федерации

Платежный оборот – процесс непрерывного движения средств платежа во всех формах (денежные средства – наличные и безналичные, чеки, сертификаты, векселя, платежные карточки и пр.)
Денежный оборот – составная часть платежного оборота – представляет собой процесс непрерывного движения денежных знаков в на личной и безналичной форме.
|
|
|
Денежное обращение – часть денежного оборота, налично-денежный оборот – переход денежных знаков от одних субъектов к другим.
Безналичный оборот денег в современных условиях играет ведущую роль. В некоторых странах, например в США, безналичные расчеты составляют около 95%.
Безналичный оборот (расчеты) существует в виде записей по депозитным счетам (депозитные деньги).
Принципы организации безналичных расчетов:
правовой режим осуществления расчетов и платежей;
осуществление расчетов по банковским счетам;
наличие распоряжения или акцепта (согласия) владельца счета на списание КО средств с его счета;
соблюдение установленных законодательно сроков платежей;
исполнение платежных документов при наличии средств на счете плательщика;
взаимный контроль между участниками расчетов.
Основными формами безналичных расчетов являются:
расчеты платежными поручениями преобладающая форма расчетов;
расчеты платежными требованиями (по инкассо) применяются в меньшей степени в случае поручения клиента банку получить платеж от 3го лица его дебитора;
расчеты чеками;
расчеты аккредитивами;
платежные карты;
вексельные расчеты.
Платежные поручения — это форма безналичных расчетов, представляющая собой распоряжение вкладчика счета (плательщика) своему банку о переводе определенной суммы на счет получателя средств, открытый в этом или другом банке.
При расчетах платежными поручениями банк обязуется по поручению плательщика за счет средств, находящихся на его счетах, перевести определенную денежную сумму на счет указанного плательщиком лица в этом или ином банке в срок, предусмотренный законом или устанавливаемый в соответствии с ним, если более короткий срок не предусмотрен договором банковского счета.
Платежные поручения по договоренности сторон могут быть срочные, досрочные.
Срочные платежные поручения применяются в следующих случаях:
авансовый платеж, т. е. платеж до поставки товара, работ, услуг;
платеж после отгрузки товара, т. е. путем прямого акцепта товара;
частичные платежи при крупных сделках.
Платежное поручение может быть оплачено полностью или частично при отсутствии денег на счете плательщика, о чем делается отметка на платежном документе.

Схема расчетов платежными поручениями:
1. покупатель (плательщик денежных средств) предоставляет в банк платежное поручение в четырех (или пяти) экземплярах и получает назад четвертый экземпляр в качестве расписки банка;
2. банк, обслуживающий покупателя, на основании первого экземпляра платежного поручения списывает денежные средства со счета покупателя;
3. банк, обслуживающий покупателя, направляет в банк, обслуживающий продавца, два экземпляра платежного поручения и денежные средства;
4. банк, обслуживающий продавца, используя второй экземпляр платежного поручения, зачисляет денежные средства на счет продавца (получателя денежных средств);
5. банки выдают своим клиентам выписки из расчетных счетов.
Платежные требования - требование поставщика к покупателю оплатить на основе направленных ему расчетных и отгрузочных документов (транспортной накладной) стоимость поставленной по договору продукции, выполненных работ и услуг обслуживающему банку. Выписывается поставщиком. Плательщик обязан в течение трех дней представить в обслуживающий банк акцепт на оплату.
Плательщик, определив возможность оплаты полученного платежного требования-поручения, сдает данный документ в обслуживающий его банк для перечисления акцептованной им суммы на расчетный счет продавца. Таким образом, платежное требование-поручение представляет собой требование продавца к покупателю и поручение покупателя своему банку произвести оплату на основании расчетных и отгрузочных документов поставляемой продукции.
|
|
|

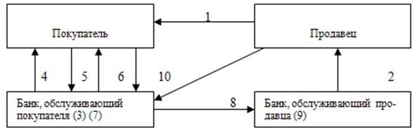
Схема расчетов платежными требованиями-поручениями
1. отгрузка продукции продавцом;
2. передача платежного требования-поручения вместе с отгрузочными документами в банк, обслуживающий покупателя;
3. помещение отгрузочных документов в картотеку в банке, обслуживающем покупателя;
4. передача платежного требования-поручения покупателю;
5. оформление покупателем платежного требования-поручения и передача его в банк. Банк принимает его только при наличии средств на счете покупателя;
6. передача покупателю отгрузочных документов;
7. банк покупателя списывает сумму оплаты со счета покупателя;
8. банк покупателя направляет в банк, обслуживающий продавца, платежные требования-поручения;
9. банк продавца зачисляет сумму оплаты на счет продавца;
10. банк выдает своим клиентам выписки из расчетного счета.
Аккредити́в — это условное денежное обязательство, принимаемое банком (банком-эмитентом) по поручению приказодателя (плательщика по аккредитиву), осуществить платеж в пользу бенефициара (получателя средств по аккредитиву) указанной в аккредитиве суммы по представлении последним в банк документов в соответствии с условиями аккредитива в указанные в тексте аккредитива сроки, или оплатить, акцептовать или учесть переводной вексель, или предоставить полномочия другому банку (исполняющему банку) произвести такие платежи или оплатить, акцептовать или учесть переводной вексель.