Воспроизводство – это процесс общественного производства, который постоянно и непрерывно повторяется и возобновляется. Он охватывает все стороны и элементы способа производства. Воспроизводство производительных сил и производственных отношений называется общественным воспроизводством.
Различают два вида воспроизводства:
1. Простое – это возобновление производства в неизменных масштабах относительно количества и качества изготовленной продукции. Факторы производства не изменяются в каждом последующем цикле. Весь дополнительный продукт направляется на потребление.
2. Расширенное – воспроизводство, при котором размеры продукта в каждом последующем цикле возрастают и повышается качество продукта. Для этого используются дополнительные факторы производства. Источником их увеличения или качественного совершенствования является дополнительный продукт.
Средства труда (машины, оборудование, здания, транспортные средства) совместно с предметами труда (сырьем, материалами, полуфабрикатами, топливом) образуют средства производства. Выраженные в стоимостной форме средства производства являются производственными фондами предприятий. Различают основные и оборотные фонды.
Основные производственные фонды представляют собой средства труда, участвующие в процессе производства длительное время и сохраняющие при этом свою натуральную форму. Стоимость их переносится на готовую продукцию частями, по мере утраты потребительской стоимости.
Оборотные фонды - это те средства производства, которые целиком потребляются в каждом новом производственном цикле, полностью переносят свою стоимость на готовый продукт и в процессе производства не сохраняют своей натуральной формы.
С целью компенсации износа основных фондов и накопления необходимых средств для воспроизводства и восстановления основных фондов используется система амортизационных отчислений.
Амортизацией называется денежное возмещение износа основных фондов. Амортизационные отчисления являются одним из элементов издержек производства и включаются в состав себестоимости продукции.
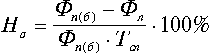
Размер амортизационных отчислений, выраженный в процентах к первоначальной (балансовой) стоимости каждого вида основных фондов, называется нормой амортизации и рассчитывается по формуле:

где Фп(б) - первоначальная (балансовая) стоимость основных фондов;
Фл - ликвидационная стоимость основных фондов;
Тсл - срок службы основных фондов.
Величина амортизационных отчислений определяется тремя методами: равномерным, равномерно-ускоренным и ускоренным (когда в первые три года переносится 2/3 первоначальной стоимости основных фондов, а затем остаток - равномерно).






