для обеспечения
управляемой самостоятельной работы студентов (УСР)
по учебной дисциплине
«Вычислительные методы и компьютерное моделирование»
Для специальности
Иностранный язык (английский). Информатика»
4-й курс
Всего УСР — 10 часов, 7 семестр
Лекция — 2 часа
Материалы подготовлены
Петлицкой Т.С.,
преподавателем кафедры физико-математических дисциплин
(в соответствии с Положением об
управляемой самостоятельной работе
студентов БарГУ, утвержденным
30.08.2013 № 394)
Барановичи, 2014
ИНФОРМАЦИОННО-МЕТОДИЧЕСКАЯ ЧАСТЬ
ТЕМА: РЕШЕНИЕ СИСТЕМ ЛИНЕЙНЫХ АЛГЕБРАИЧЕСКИХ УРАВНЕНИЙ В MS EXCEL. МеТОД ЗЕЙДЕЛЯ.
Цель УСР:
– овладение учебным материалом дисциплины в объеме, требуемой учебной программой;
– формирование навыков самообразования в учебной, научной, производственной и управленческой деятельности;
– развитие учебных способностей, умений, навыков и принятия самостоятельных решений в профессиональной деятельности.
Вопросы для изучения:
- Метод Зейделя.
Цель работы:
формирование навыков по решению систем линейных алгебраических уравнений методом Зейделя в MS Excel.
1. Изучить предлагаемый вопрос по литературным источникам и предложенной лекции.
2. Составить конспект.
3. Ответить на вопросы для самоконтроля.
Тема: РЕШЕНИЕ СИСТЕМ ЛИНЕЙНЫХ АЛГЕБРАИЧЕСКИХ УРАВНЕНИЙ В MS EXCEL. МЕТОД ЗЕЙДЕЛЯ.
1. МЕТОД ЗЕЙДЕЛЯ.
Модификацией метода простых итераций Якоби можно считать метод Зейделя.
В методе Якоби на
итерации значения
вычисляются подстановкой в правую часть системы:

вычисленных на предыдущей итерации значений 
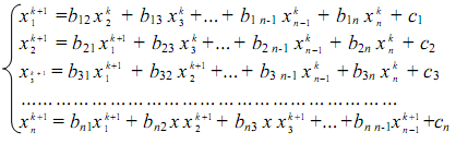
В методе Зейделя при вычислении
используются значения
уже найденные на
итерации, а не
как в методе Якоби, т.е.
приближение строится следующим образом:

Эти формулы являются расчетными формулами метода Зейделя.
Введем нижнюю и верхнюю треугольные матрицы:

Матричная запись расчетных формул метода Зейделя имеет вид:

Так как
точное решение
исходной системы удовлетворяет равенству:

Сходимость метода Зейделя. Достаточным условием сходимости метода Зейделя является выполнение неравенства:

Этонеравенство означает, что для сходимости метода Зейделя достаточно, чтобы максимальный по модулю элемент матрицы (полученной из расчётных формул метода Зейделя) был меньше единицы. Если выполнено условие, то справедлива следующая апостериорная оценка погрешности:


где
– максимальный элемент матрицы
максимальный элемент матрицы
.
Правую часть апостериорной оценки погрешности легко вычислить после нахождения очередного приближения.
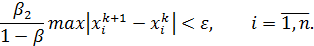
Критерий окончания. Если требуется найти решение с точностью
, то в силу апостериорной оценки погрешности итерационный процесс следует закончить, как только на
шаге выполнится неравенство:

Поэтому в качестве критерия окончания итерационного процесса можно использовать неравенство:

где 
Если выполняется условие
то можно пользоваться более простым критерием окончания:

Метод Зейделя, как правило, сходится быстрее, чем метод Якоби. Однако возможны ситуации, когда метод Якоби сходится, а метод Зейделя сходится медленнее или вообще расходится.
Пример: применить метод Зейделя для решения системы линейных алгебраических уравнений

| x1 | x2 | x3 | x4 | b | e | |
| 0,79 | -0,12 | 0,34 | 0,16 | -0,64 | 0,001 | |
| -0,34 | 1,08 | -0,17 | 0,18 | -1,42 | ||
| -0,16 | -0,34 | 0,85 | 0,31 | -0,42 | ||
| -0,12 | 0,26 | 0,08 | 0,75 | 0,83 | ||
| x1 | x2 | x3 | x4 | b | ||
| 1,0000 | -0,1519 | 0,4304 | 0,2025 | -0,8101 | ||
| -0,3148 | 1,0000 | -0,1574 | 0,1667 | -1,3148 | ||
| -0,1882 | -0,4000 | 1,0000 | 0,3647 | -0,4941 | ||
| -0,1600 | 0,3467 | 0,1067 | 1,0000 | 1,1067 | ||
| B | ||||||
| x1 | 0,0000 | 0,1519 | -0,4304 | -0,2025 | -0,8101 | |
| x2 | 0,3148 | 0,0000 | 0,1574 | -0,1667 | -1,3148 | |
| x3 | 0,1882 | 0,4000 | 0,0000 | -0,3647 | -0,4941 | |
| x4 | 0,1600 | -0,3467 | -0,1067 | 0,0000 | 1,1067 | |
| b=maxbij= | 0,4000 | < 1/2 | ||||
| ответ | ||||||
| x01= | -0,8101 | x11= | -1,02132 | - | ||
| x02= | -1,3148 | x12= | -1,89856 | - | ||
| x03= | -0,4941 | x13= | -1,8494 | - | ||
| x04= | 1,1067 | x14= | 1,798693 | - | ||
| x11= | -1,02132 | x21= | -0,66686 | - | ||
| x12= | -1,89856 | x22= | -2,11565 | - | ||
| x13= | -1,8494 | x23= | -2,1219 | - | ||
| x14= | 1,798693 | x24= | 1,959728 | - | ||
| x21= | -0,66686 | x31= | -0,61518 | - | ||
| x22= | -2,11565 | x32= | -2,1691 | - | ||
| x23= | -2,1219 | x33= | -2,19228 | - | ||
| x24= | 1,959728 | x34= | 1,994038 | - | ||
| x31= | -0,61518 | x41= | -0,59995 | - | ||
| x32= | -2,1691 | x42= | -2,18111 | - | ||
| x33= | -2,19228 | x43= | -2,20673 | - | ||
| x34= | 1,994038 | x44= | 2,002177 | - | ||
| x41= | -0,59995 | x51= | -0,59721 | - | ||
| x42= | -2,18111 | x52= | -2,18388 | - | ||
| x43= | -2,20673 | x53= | -2,21029 | - | ||
| x44= | 2,002177 | x54= | 2,003955 | - | ||
| x51= | -0,59721 | x61= | -0,59646 | Корень | ||
| x52= | -2,18388 | x62= | -2,1845 | Корень | ||
| x53= | -2,21029 | x63= | -2,21104 | Корень | ||
| x54= | 2,003955 | x64= | 2,004371 | Корень | ||
| Ответ: | x1= | -0,596 | ||||
| x2= | -2,184 | |||||
| x3= | -2,211 | |||||
| x4= | 2,004 |
Ответ: корни системы уравнений x1=-0,596, x2=-2,184, x3=-2,211, x4=2,004.
Вопросы для самоконтроля
1. Суть метода итерации Зейделя.
2. Какой из итерационных методов сходится быстрее? Почему?
3. Критерий окончания метода Зейделя.
Список литературы
1. Численные методы: Учебно пособие для студентов вузов ∕ М. П. Лапчик, М. И. Рагулина, Е.К. Хеннер; под ред. М. П. Лапчика. — М.: Издательский центр «Академия», 2004.
2. Численные методы в примерах и задачах: Учебное пособие /В.И. Киреев, А.В. Пантелеев. — 3-е изд. стер. — М.: Высш. шк., 2008.
3. Вычислительная математика в примерах и задачах/ Н. В. Копченова, И. А. Марон. Главная редакция физико-математической литературы изд-ва «Наука», М., 1972.
Форма контроля: проверка конспекта.