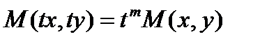
Определение 8.3 Функция
- называется однородной степени
, если
и
выполняется равенство
(8.16)
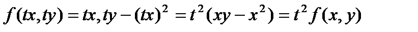
Пример 8.5: Функция
однородная функция первого порядка

Пример 8.6: Функция
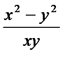
есть однородная функция второго порядка, так как

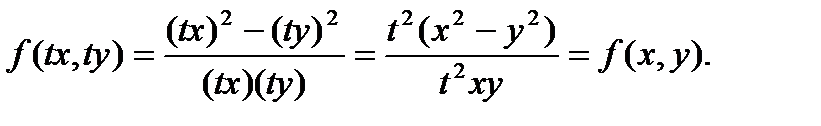
Пример 8.7: Функция
есть однородная функция нулевого измерения. Действительно,

Определение8.4 Если функции
и
однородные, одной и той же степени m, то дифференциальное уравнение
(8.161)
называется однородным.
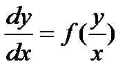
Определение 8.5. Дифференциальное уравнение первого порядка
(8.17)
называется однородным относительно
и
,если
есть однородная функция нулевого измерения.
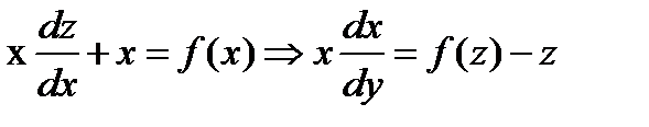
Решение уравнения (8.17). Его можно преобразовать, следующим образом

То есть
(8.18)
Где
- некоторая функция от одного переменного.
Введем вместо
новую функцию
от (
) при помощи подстановки
(8.19)
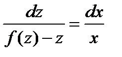
Тогда (8.19), подставляя в (8.18) имеем

Или

Следовательно, в силу (8.10) получим
(
)
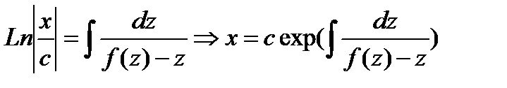
Таким образом, решение уравнение (8.17) дается формулой
(
) (8.20)
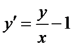
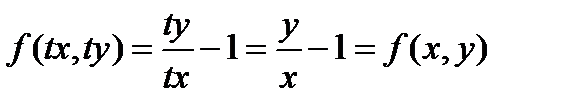
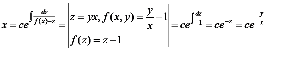
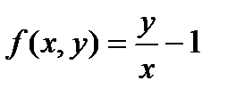
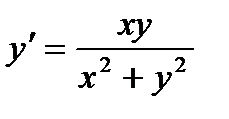
Пример8.8: Решить уравнение 
Решение: Заметим, что
является однородной функцией нулевого измерения

Тогда согласно формуле (8.20), имеем

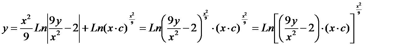
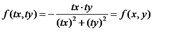
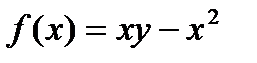
Пример 8.9: Решить уравнение
(8.21)
Решение: Так как
, следовательно(8.21) является однородным уравнением и имеем
, следовательно, по формуле (8.20) имеем

Откуда
.
Замечание8.2: Иногда, уравнение можно привести к однородному заменой переменного
(α-постоянное). Это имеет место в том случае, когда в уравнении все члены оказываются одного измерения, если переменному
приписать 1, переменному
- измерение α и производной.
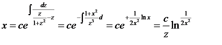
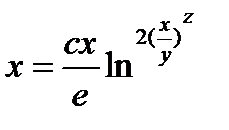
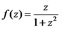
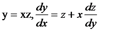
Пример8.10: Решить уравнение
=0
Решение: Пологая y=
имеем

Далее пологая z=Ux, имеем
U’
=
,
Откуда
,


Ln
Ln
=Ln 
Так как
имеем







