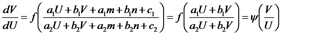
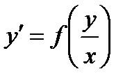
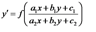
Рассмотрим дифференциальное уравнение
(8.22)
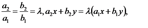
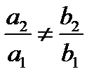
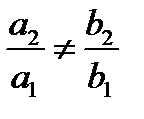
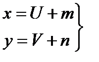
Уравнение (8.22) приведем к однородному уравнению. В случае
приводится к однородным уравнением с помощью замены переменной
(8.23)
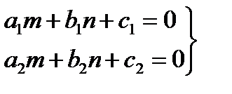
Где n и m находится из системы уравнений
(8.24)
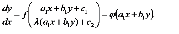
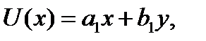
Поскольку здесь
, то уравнение (8.22) преобразуется к виду
относительно функции
.

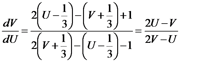
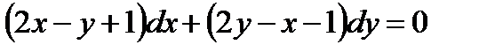
Пример8.13: Решить уравнение
(8.25)
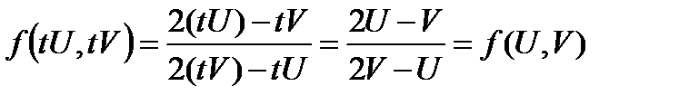
Решение: так как
и
;
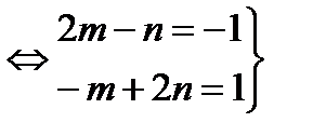
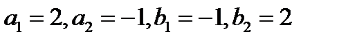
тогда в силу системы (8.24) имеем:
(8.24΄)
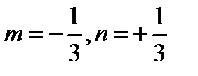
Решая систему (8.24΄) находим
.
Следовательно,

Отсюда видно
.
То есть функция
является однородной, следовательно (8.24) приведена к однородным уравнением. Полагаем
.
Согласно формуле (8.24), имеем



Если 
То 
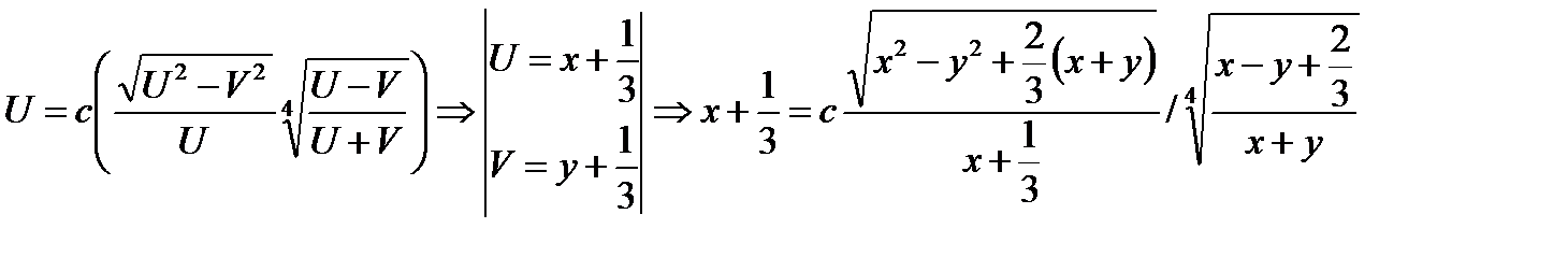
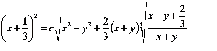
Делая подстановку
уравнение сходится к разделяющимся переменным.






