Если в уравнении (
) входит только первая производная от искомой функции, то это дифференциальное уравнение первого порядка. Самое общее дифференциальное уравнение первого порядка имеет вид
(7.16)
Где
-заданная непрерывная функция трех своих аргументов: в частности, она может не зависит от х или от у, но непременно должна содержать
.
Если уравнение (7.6) определяет
как неявную функцию двух остальных аргументов, то его можно представить в виде разрешенном относительно 
=
(7.17)
Здесь
-непрерывная заданная функция от х и у.
В дифференциальном уравнении (7.16) или (7.17) х является независимым переменным, у –искомой функцией.
Определение7.4 дифференциальное уравнение первого порядка есть соотношение, связывающее искомую функцию, независимые переменные и первую производную от искомой функции.
Определение 7. 5 Решением дифференциального уравнения первого порядка называется всякая функция
, которая будучи подставлена в уравнение (7.16) или (7.17) обратит его в тождество.
Для дифференциального уравнения (7.17) справедлива следующая теорема, так называемая теорема существования.
|
|
|
Теорема 7.1 если в уравнении (7.17) функция
непрерывна и ее частная производная
непрерывна в некоторой область
содержащей некоторую точку
, то существует единственное решение этого уравнения
,
Удовлетворяющее условию
при 
Геометрический смысл теоремы заклюается в том, что существует и при том единственная функия
, график которой проходит через точку
.
Пример 7.7: Рассмотрим задачу
при
(7.18)
Где
является непрерывной функцией и областью определения этой функии является множество всех
.
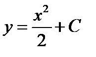
Легко видно, что
и
, т.е выполняется условие теоремы. Решение этого уравнения является функция

Определим С из условия что при
, т.е
, откуда С=1/2.
Таким образом,
=
.

Условие, что при х=х0 функция у должна равняться начальному заданному числу у0, называется начальным условием. Она часто записывается в виде
или 
Определение 7.6 Общим решением дифференциального уравнения первого порядка называется функция
, которая зависит от одного произвольного постоянного С и удовлетворяет следующим условиям:
А) она удовлетворяет дифференциальному уравнению при любом конкретном значении С постоянного С.
Б) какова бы ни было начальное условие
при
то есть
можно найти такое значение С=С0 что функция
удовлетворяет данному начальному условию.
Эти все условия будут удовлетворены, тогда и только тогда, когда выполняется условие теоремы существования и единственности.
В процессе разыскания общего решения дифференциального уравнения мы нередко приходим к соотношению вида
(7.19)
Не разрешено относительно у. разрешив это соотношение относительно у, получим общее решение.
|
|
|
Однако, выразить у через соотношение (7.19) в элементарных функциях не всегда оказывается возможным. В таком случае общее решение дифференциального уравнения остается в неявном виде.
Равенства вида:
, неявно задающее общее решение, называется общим интегралом дифференциального уравнения.
Определение 7.7: Частным решением называется любая функция
, если в последнем произвольном постоянном С придать определенное значение С=С0.
соотношение
называется частным интегралом уравнения.
Пример 7.8:
