Определение 9.1 Дифференциальное уравнение первого порядка называется линейным, если оно линейно относительно неизвестной функции и ее производной, то есть а
ао(х)у' + а1(х)у + а2(х) = 0 (ао(х) ≠0) (9.1)
где

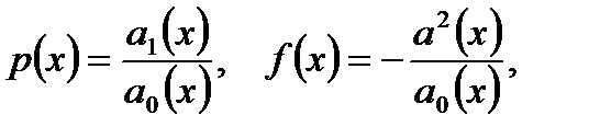
Разделив уравнения (9.1) на а0 (х) ≠ 0, Vx e (a, b) и вводя обозначения
имеем
y' + p(x)y = f(x) (9.2)
Таким образом, опрелеление 9.1, можно сформулировать в следующем виде.
Определение 9.2 Уравнение (9.2), где р(х), f(x) непрерывные функции от х на интервале (а,b), называется линейным, дифференциальным уравнением первого порядка, неизвестная функция у(х) и её производная входят в это уравнение в первой степени — линейно. Если f(x) = 0, то уравнение
(9.3)|
называется линейным однородным, а в связи с этим уравнение (9.2) называется линейным неднородным.






