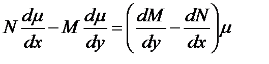
Из определения интегрирующего множителя имеем
(10.20)
или же, деля обе части равенства (10.20) на
,
(10.20’)
Мы получили в виде (10.20) или (10.20’) уравнение в частных производных для определения неизвестной функции
. Задача интегрирования такого уравнения в общем случае не проще, чем задача решения уравнения (10.6). Конечно, нам достаточно знать только одно частное решение уравнения (10.20) иногда по каким-нибудь особенностям уравнение (10.20), удается найти такое частное решение, и тогда интеграция уравнения (10.6) сводится к квадратуре.
Рассмотрим, например, случай, когда существует интегрирующий множитель, являющийся функцией одного только х.
В этом случае
= 0 и уравнение (10.20') обращается в такое
(10.21)
Ясно, что для существования интегрирующего множителя, не зависящего от у необходимо и достаточно, чтобы правая часть была функцией одного х, в таком случае
найдется квадратурой:
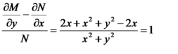
Пример 10.6: ( 2ху+ х2у+
)dх+(х2+ у2)dу = 0
Здесь

Следовательно,
= 1,
= х,
= ех
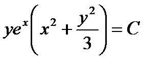
Уравнение

есть уравнение в полных дифференциалах. Интегрируем его,
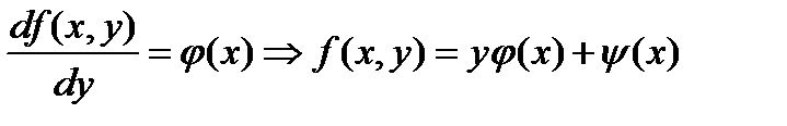
|
|
|

Для нахождения
(у) вычислим
и приравняем его
N

Откуда
'(у) =0
и общий интеграл нашего уравнения есть

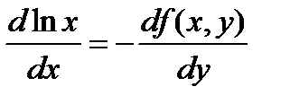
Рассмотрим частный случай интегрирующего множителя, зависящего только от x, когда N=1 в этом случае уравнение имеет вид
dy-f(x,y)dx=0 (10.22)
Уравнение (10.21) примет вид
с условием, что
есть функция одного х.

В таком случае f(х,у) имеет вид

т.е. уравнение, написанное в виде (10.22) и допускающее интегрирующий множитель, зависящий только от х есть уравнение линейное.
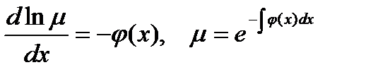
Из уравнения (10.21) имеем

Переходя к обозначениям лекции 9 для линейного уравнения,приходим к заключению.
Линейное уравнение
имеет интегрирующий множитель 
Пример10.7: Уравнение
имеет интегрирующий
множитель
, умножая на него обе части уравнения, имеем

где левая часть есть полный дифференциал, интегрируя находим

или
- общий интеграл.