Сформулируем без доказательств одну из важнейших теорем дифференциальных уравнений, которая утверждает существование и единственность решения задачи Коши локально вблизи начальной точки х0.
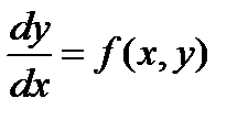
Теорем 10.1. Пусть дано дифференциальное уравнение.
(10.1)
удовлетворяющее начальному условию
(10.2)
относительно функций
..Мы предположим следующее
А. Функция
определена в прямоугольнике

непрерывна в П, где
- постоянные числа.
Так как непрерывная функция является в замкнутой области ограниченной, то из условия А следует существование такого положительного числа М, что имеет место неравенство
(10.3)
В. Функция
удовлетворяет условию Лифшица по у. То есть сущестсвует такое положительное число N, что для любого значения
и
переменной
выполняется неравенство
(10.31)
Тогда дифференциальное уравнение (10.1) имеет решение
, удовлетворяющее условию (10.2) и определенное в промежутке
, где 
Это решение единственно в том смысле, что любое другое решение
уравнение (10.1), удовлетворяющее тому же начальному условию (10.2)
|
|
|

совпадает с
в том же промежутке, где оба решения определены одновременно.
§ 2. Особые точки
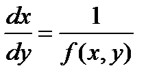
1. Исследуем уравнение (10.1), в случае когда нарушается условие теоремы существования и единственности.
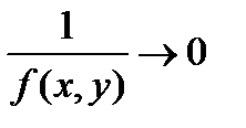
Пусть не выполняется условие А. Допустим, что в окрестности точки (х0, у0) функция f(х, у) является неограниченной.
Первый случай.
когда
. Тогда функция
примет ее значения равным 0 в точке (х0, у0).
Рассмотрим уравнение 
и предположим, что для нее условия теоремы Коши в окрестности точки (х0, у0) выполнены, мы получим интегральную кривую, проходящую через точку (х0, y0), уравнение ее будет иметь вид

при х = х0, у = у0 имеем
= 0. Таким образом, интегральная кривая
имеет в точке (х0, у0) вертикальную касательную.
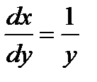
Пример 10.1.
при х = х0, у = у0=0 функция не ограничена, но в уравнении
= у правая часть при этих начальных данных обращается в нуль. Искомое решение: у2 = 2 (х - х0) - парабола с вертикальной касательной при х = х0.
Второй случай.
является неограниченной в окрестности точки (х0, y0) не имеет единственного предела
, когда точка (х, у) стремится к (х0, y0) между тем как в остальных точках этой
окрестности или
или
непрерывна. Такова, например,
функция
в окрестности точки х=0, у=0. В самом деле, когда
точка (х, у) стремится к (0, 0), оставаясь на прямой ах + bу = 0, эта функция равна 0. Если же точка (х, у) лежит на прямой сх + dу = 0, функция не определена (нуль в знаменателе), но вблизи этой прямой она бесконечно велика; по другим направлениям функция имеет другие предельные значения. Мы скажем, что в точке (0, 0) наша функция имеет изолированную особую точку типа
.






