Пусть дано дифференциальное уравнение (10.1). Если в окрестности точки (х0,y0) плоскости хОу выполняется условие теоремы существования и единственности, то через нее проходит и притом только одна интегральная кривая.
Если условия теоремы существования не соблюдаются, то тут могут быть различные случаи. Через точку (х0, у0) все же может проходить одна интегральная кривая или несколько или бесконечное множество, или же нет интегральной кривой, которая проходила бы через точку (х0, у0).
Интересен тот случай, когда дифференциальное уравнение (10.1) имеет особое решение.
Определение 10.1 Решение дифференциального уравнения первого порядка называется особым, если соответствующая интегральная кривая обладает тем свойством, что через любую ее точку проходит, кроме нее, еще и другая касающаяся ее интегральная кривая данного уравнения.
Нередко приходится иметь дело с дифференциальными уравнениями вида (10.1), где функция
непрерывна на некоторой области П, а ее частная производная конечна и непрерывна не всюду на П.
|
|
|
Имеются на П такие точки, где
. В каждой такой точке, вообще говоря нарушается условие существования и единственности решения дифференциального уравнения (10.1), а если такие точки образуют гладкие линии, то последние могут представлять особые решения дифференциального уравнения.
Пример 10.2: Рассмотрим простейшее уравнение Бернулли
. Здесь,
- непрерывная функция на верхней полуплоскости функции
при 0 <
< 1 не ограничена в окрестности у = 0. Функция у = 0 является решением уравнения. Для начального условия у(х0)=0 есть еще одно решение

удовлетворяющее этому уравнению и проходящая через точку (х0, 0) касательная к этой кривой в точке (х0, 0), очевидно есть ось х (у=0). Поэтому у = 0 есть особое решение.
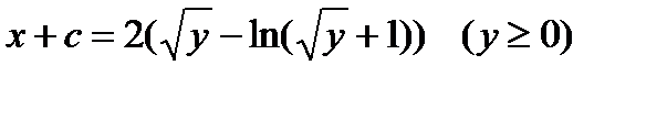
Пример 10.3: 
Здесь
и при 0 <
< 1 эта функция не ограничена вокрестности у=0. Однако у = 0 не является решением уравнения. Решение уравнения, например при
=1/2 определяется неявно равенством

т.е. через каждую точку (х0, 0) проходит единственная интегральная кривая 
Пример 10.4: Функция у=С(х-с)2 при любом С является решением уравнения
F(х,у,у/) = 4хуy’ –у’3 - 8у2 = 0 функция у=0 является особым решением данного уравнения.






