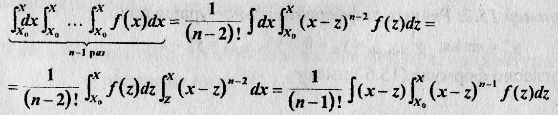
Формула (11.7) содержащая п- кратную квадратуру, может быть преобразована к такому виду, где содержится только одна квадратура по параметру. Начнем со случая n=2

Мы можем изменить порядок интегрирования, взяв пределы по х от z до х, a no z от х0 до х (Формула Дирихле) имеем

Рассмотрим далее случай n=3

По предыдущему, две внутренние интеграции мы можем записать одной по параметру, т.е. написать

Интеграция опять распространяется на тот же треугольник плоскости xOz; меняя порядок интеграции, изменяя пределы, находим

Переходя к любому п: допустим, что при п-1 справедлива формула

Тогда получаем

To есть та же формула справедлива для п. Итак, окончательно имеем, для всякого натурального n
(11.8)
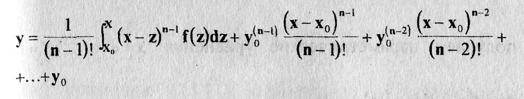
Формула Коши. Формула (11.8) представляет решение уравнения
(11.5) с условием (11.6)
Таким образом формулу (11.6') можно записать в виде
(11.9)
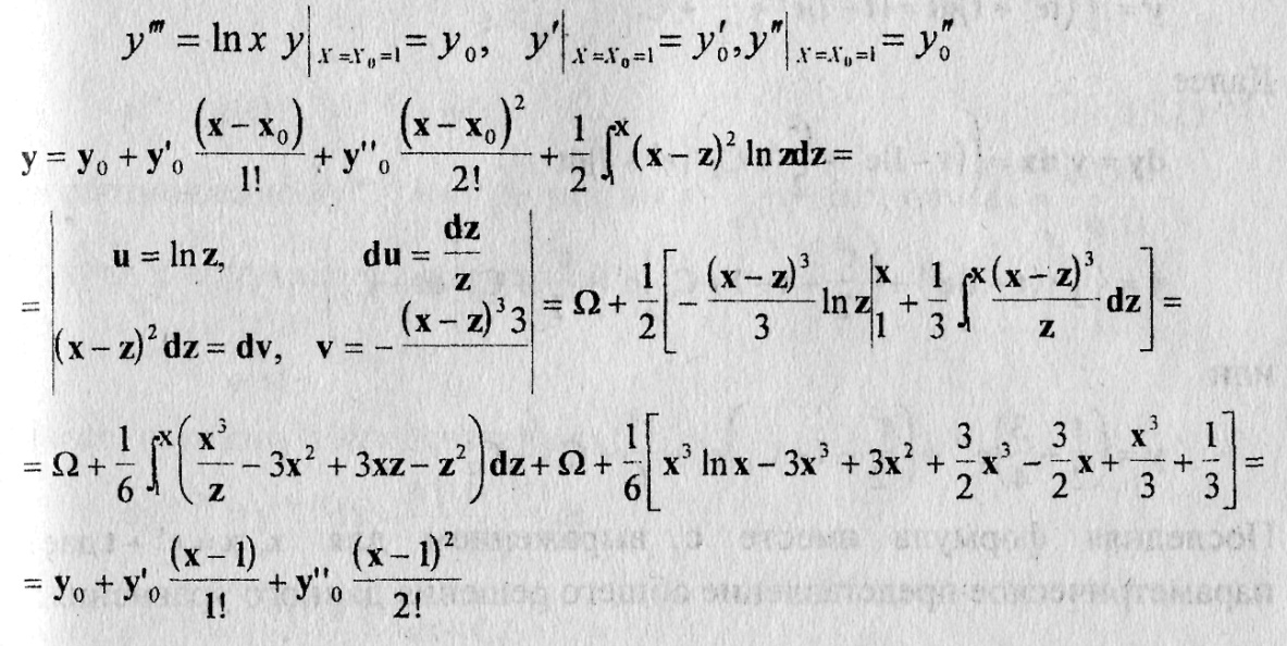
Пример 11.3: Решить уравнение







