Уравнение вида у(п) = f(x).
Простейшим уравнением n-го порядка является уравнение вида
у(п) = f(x). (11.5)
Найдем общий интеграл этого уравнения. Интегрируя no x левую и правую части и принимая во внимание, что

где х„-любое фиксированное значение х, a C, -постоянная
интегрирования.
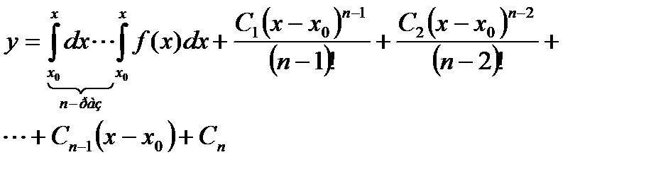
Последовательно п-1 интегрируя, получим
(11.6)
…………………………………………………………
…………………………………………………………
…………………………………………………………

Формула (11.6) дает общее решение уравнения (11.5), при этом из промежуточных формул очевидно, что формула (11.6) представляет решения такой задачи Коши. Найти решения (11.5), удовлетворяющие начальным данным: при
т.е.
(11.61)
Следовательно, первый член правой части в формуле (11.6)
(11.7)
представляет частное решение (11.1) задачи Коши с нулевыми начальными условиями, то есть
(11.8)
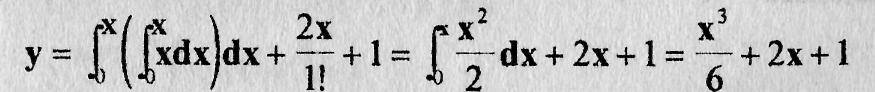
Пример 11.1: Решить дифференциальное уравнение

Согласно формуле (11.б') имеем

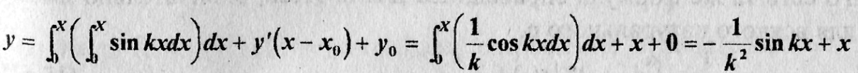
Пример 11.2: Решить дифференциальное уравнение

Согласно формуле (11.67) имеем







