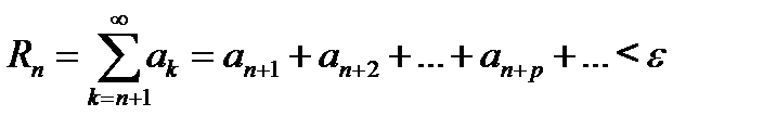
В самом деле, применим для доказательства критерий Коши.Пусть ε>0 произвольно мало. Так как числовой ряд
сходится, то можно найти такое N, что 

Тогда очевидно, 

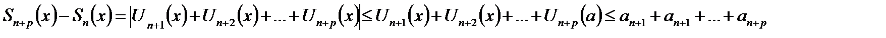
Оценим разность:

Где
-есть частичная сумма ряда
имеем:
Если теперь положить n≥N,то получим:
если n≥N и
Этим установлена равномерная сходимость ряда 
Абсолютная его сходимость следует из неравенства:

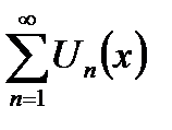
Примеры.18.4. Пусть дан ряд
1. 
этот ряд равномерно сходится на всей абсциссе. В самом деле, каков бы ни был х, всегда

а ряд
-сходится.
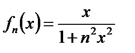
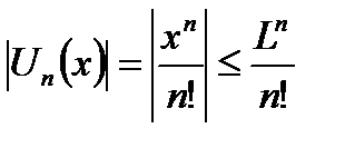
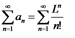
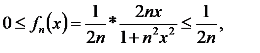
2.
где


ряд
расходящийся

Этот ряд равномерно сходится на любом отрезке [-l,l].
Действительно,

Ряд
-сходится.
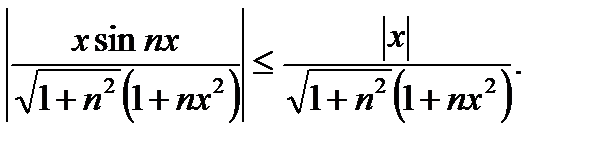
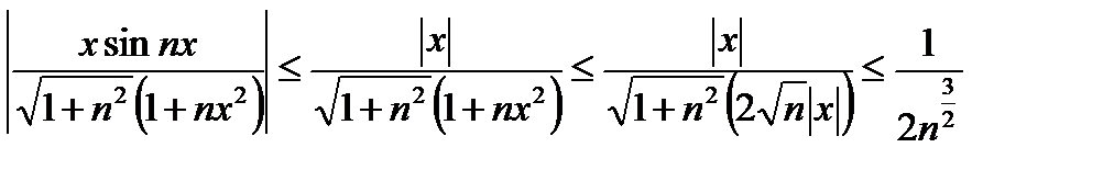
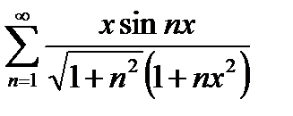
3.

Очевидно 
Учитывая, что
имеем:

Так как ряд
сходится
следовательно данный ряд сходится равномерно.
Докажем теперь достаточный признак равномерной сходимости, применимый в отличие от признака Вейерштрасса и к неабсолютно сходящимся рядам. Его формулировка напоминает признак Дирихле для сходимости числовых рядов и впервые встречается в работах Харди.
|
|
|






