Если:
1) Последовательность (18.1) имеет в
предельную функцию U(х):

2) Для каждого числа ε>0 существует такой независящий от х номер N, что при n>N неравенство:

выполняется сразу для всех
, то говорят, что последовательность (18.1) сходится к функции U(х) равномерно относительно х в области X.
Определение 18.2'
Если:
1) Последовательность (18.1) имеет в X предельную функцию U(х).
2)
существует не зависящий от х номера N, что при n>N неравенство
выполняется сразу
то говорят, что последовательность (18.1) сходится к функции
равномерно относительно х в области X.

Говорят, что последовательность
равномерно сходится на множестве Е, если существует функция U(х), удовлетворяющая условию:

Пусть существует числовая последовательность
и номер
такие,что

причем
Тогда:

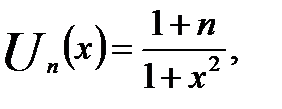
Примеры18.2. Доказать, что последовательность
равномерно сходится на множестве Е и найти ее предельную функцию U(х), если:
а)

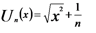
б)
E=R
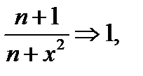
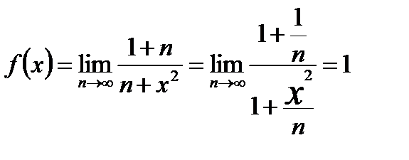
а) В этом случае
и

Следовательно,

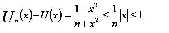
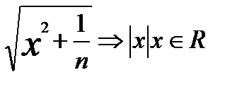
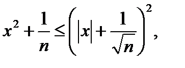
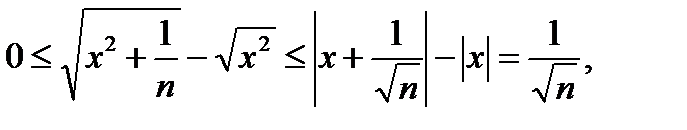
б) Используя неравенство
получаем:
откуда следует, что
|
|
|







