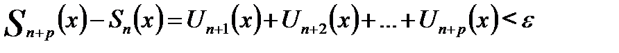
Для равномерной сходимости
на данном отрезке (интервале, множество) необходимо и достаточно, чтобы:


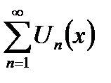
Теорема 18.2 (Признак Вейерштрасса). Если
члены функционального ряда

взятой по абсолютной величине, не превосходят соответствующих членов сходящегося числового ряда с положительными членами. то есть если
,
функциональный ряд равномерно и абсолютно сходится на отрезке [ а,в]
называется мажорирующем для ряда (18.3).






