Если функция
- непрерывна в точке
множества
и ряд
равномерно сходится на Х, то сумма
также непрерывна в точке 
Теорема 18.6.
n=1,2,3,…. непрерывны в точке
.Если функция и
то U непрерывна в точке
.
Теорема 18.7. Пусть функции
n=1,2,3,…. непрерывны на отрезке [a,b] и ряд:
(18.7)
равномерно сходится на [a,b]. тогда, каковы бы ни была точка
ряд:
(18.8)
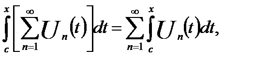
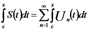
также равномерно сходится [a,b], и если:
(18.9)
то:
(18.10)
Если эту формулу переписать в виде:

то видно, что она означает законность при условиях, перечисленных в последней теореме, почленного интегрирования ряда.
Доказательство. В силу равномерной сходимости ряда (18.7) и непрерывности его членов на отрезке [a,b], согласно теореме 18.6 его сумма
поэтому она интегрируется на любом отрезке с концами в точках
и 
Покажем, что ряд (18.8) равномерно сходится на отрезке [a,b] к функции:
(18.11)
Пусть:

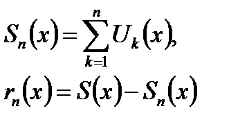
Обозначим через
частичные суммы ряда (18.8):

теперь для любого
имеем:

(18.12)
Последовательность
n=1,2,3, Является числовой последовательностью. В силу равномерной сходимости ряда (18.7) имеем
|
|
|

Поэтому из неравенства (18.12) вытекает утверждение теоремы.
Перефразируем полученный результат для последовательности функции.
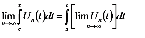
Теорема 18.7'. Если последовательность непрерывных на отрезке [a,b] функций
n=1,2,3,…. На этом отрезке равномерно сходится к функци U, то каковы бы ни была точка
то:
на [a,b]
В частности,

Рассмотрим теперь вопрос дифференцирования рядов.
Теорема 18.8. Пусть функции
n=1,2,3,…. непрерывно дифференцируемы на отрезке [a,b] и ряд, составленный из этих производных:
(18.13)
равномерно сходится на отрезке [a,b]. Тогда, если ряд
сходится хотя бы в одной точке
, то он сходится на всем отрезке [a,b], его сумма:
(18.14)
непрерывно дифференцируема и:
(18.15)
если эту формулу переписать в виде:

то видно, что она означает законность при сделанных предположениях почленного дифференцирования ряда.






