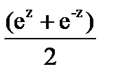
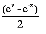
Функция shz и chz определяются формулами
shz=
, chz=
(24.12)
Из (24.8) и (24.12) видно, что shz=-isin(z) ch(z)=icos(z).Таким образом, свойства функций shz и chz непосредственно вытекают из свойств функций sinz и cosz. Отметим, в частности, что функции shz и chz непрерывна во всей комплексной плоскости: все решения уравнения shz=0 находятся по формуле
z=k
i, k=0 
А все решения уравнения chz=0 находятся по формуле Z=(
/2+k
)i, k=0 
Функция thz, cthz определяются формулами
thz=shz/chz cthz=chz/shz
Надо отметить, что формулы для тригонометрических и гиперболических функций, справедливые при действительных Х, остаются в силе для комплексных Z