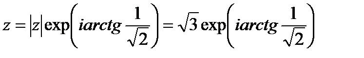
Число z=
+i записать в показательной форме.
Решение: так как |Z|=
=
argZ=arctgy/x=arctg
то по формуле (24.2.) можно записать 
Пусть дано комплексноe число Z,Z
Z 
Число
называется натуральным логарифмом числа Z,если е
=Z
Все значения логарифма Z обозначают Lnz, найдем эти значения, если z=r(cos
+isin
), а
=u+iv то по определению логарифма
е u+iv=r(cos
+isin
)
или
еu (cosV+isinV)=r(cos
+isin
)
отсюда следует, еu=rV=argZ=argZ+2
k k=0
. Так как
, то
!
действительное значение
. Поэтому
.
Таким образом, всякое комплексное число Z¹0, Z¹
имеет бесконечное множество значений натурального логарифма. Все они описываются формулой.
(*)
Однозначная функция lnZ=ln|Z|+iArgZ называется главным значением логарифма.
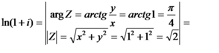
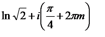
Пример.24.3. Найти все значения ln(1+i)
Решение. По формуле (*) находим

=
, m=0, 
Если а действительно и а>0, то
Ln a =ln a +2
m. Среди всех значений логарифма действительного, как мы уже отмечали, положительного числа, лишь одно действительно совпадает с главным значением логарифма.
Легко проверяется равенство


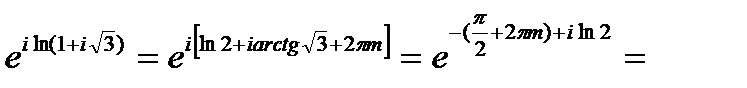
Пример.24.4. Найти число Z, если известно, что LnZ
.
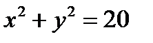
Решение. Из определения логарифма следует, что
,
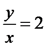
.То есть число Z расположено в третьей четверти, поэтому x<0, y<0. Из условия
,
, x<0, y<0, находим x=-2, y=-4. Следовательно, Z=-2-4i.
|
|
|
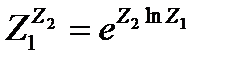
Операция
определяется равенством
и является также многозначной.
Пример24.5. Число (1+і
записать в алгебраической форме.
Решение. (1+і
= 
= 






