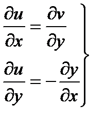
Теорема 25.1. Пусть функция f(z)=u(x,y)+iv(x,y) определена в некоторой окрестности точки Z, причем в этой точке функции U (x,y) и V(x,y) дифференцируемы. Тогда для дифференцируемой функции комплексной переменной f(z) в точке Z необходимо и достаточно, чтобы в этой точке имели место соотношения
(25.8)
Для производной f(z) справедлива формула
f(z)=
+i
=
-i
(25.9)
Доказательство. Необходимость. Пусть функция f(z) дифференцируема в точке z. Тогда в силу (25.3) имеем
f=f¢(z)
+e(
) (25.10)
где
(r)=0(
) при
. Здесь обозначено
=
= 
Функцию e(r) комплексной переменной представим в виде
, где функции e1(r), e2(r) принимают действительные значения. Так как e(r)/r
при r
, то e1(r)/r
, e2(r)/r
при r
, и поэтому
e1(r)=0(r) e2(r)=0(r) (r
) (25.11)
Обозначим
f=
u+i
v, f(z)=A+iB u подставим в (25.10), тогда получим
U+i
V=(A+iB)(
x+i
y)+e1+ie2 (25.12)
Приравнивая в этом соотношении действительные и мнимые части, получим
U=A
x -B
y+e1,
V=B
x +A
y+e2 (25.13) Тем самым доказано, что функции U,V дифференцируемы в точке (x,y).
Из равенств (25.13) находим
A=
, -B=
, B=
, -A=
,
откуда следуют условия Коши-Римана и формула (25.8), так как
F(z)=A+iB
Достаточность. Пусть функции U(x,y), V(x,y) дифференцируемы в точке (x,y), и выполняются условия (25.8).
Тогда имеют место равенства (25.13), где e1=0(r), e2=0(r).Умножая второе из этих равенств на і и складывая с первым, получаем
U +i
V=A
х -B
у +i(В
X+A
y)+e1+ie2
или
f=(A+iB)(
x+i
y)+e1+ie2
или
f=(A+iB)
z+e(r),
где e(r)=0(r), откуда в силу (25.3) вытекает дифференцируемость функции f(z) в точке z. Теорема доказана.






