| Признак классификации | Виды показателей |
| 1. По объектной и временной определенности | Конкретные |
| Абстрактные (показатели-категории) | |
| 2. По охвату единиц совокупности | Индивидуальные |
| Сводные | |
| 3. По форме выражения | Абсолютные |
| Относительные | |
| Средние | |
| 4. По способу получения | Объемные |
| Расчетные | |
| 5. По фактору времени | Интервальные |
| Моментные | |
| 6. По числу объектов | Однообъектные |
| Межобъектные | |
| 7. По охватываемой территории | Общетерриториальные |
| Региональные | |
| Местные (локальные) |
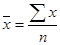
Абсолютный показатель – отражает либо суммарное число единиц, либо суммарное свойство объекта, т.е. уровень развития явления.
В статистике все абсолютные величины являются именованными, измеряются в конкретных единицах измерения и, в отличие от математического понятия абсолютной величины, могут быть как положительными, так и отрицательными (убытки, убыль, потери и т. п.).
В зависимости от социально-экономической сущности исследуемых явлений, их физических свойств, абсолютные показатели выражаются в следующих единицах:
1. Натуральные (тонны, кг, м, м2, м3, л, штуки и т.д.)
Разновидности:
- Условно-натуральные – используются в тех случаях, когда какой-либо продукт имеет несколько разновидностей, и общий объем можно определить только исходя из общего для всех разновидностей потребительского свойства (условное топливо – по теплоте сгорания; условное мыло – по % содержания жирных кислот; условные консервные банки – по объему в см3, условные бутылки – по объему в литрах и т.д.).
Перевод в условные единицы измерения осуществляется на основе специальных коэффициентов, рассчитываемых как отношение потребительских свойств отдельных разновидностей продукта к эталонному значению.
- Составные – произведение двух единиц, используется для характеристики какого-либо явления или процесса, когда одной единицы измерения недостаточно (киловатт-час, тонно-километры и т.д.)
2. Стоимостные – дают денежную оценку социально-экономическим явлениям и процессам. Требуют дополнительных расчетов (например, при расчете стоимости нескольких видов продукции, ВВП, пересчете валют, переводе в сопоставимые цены).
3. Трудовые – позволяют учитывать как общие затраты труда на предприятии, так и трудоемкость отдельных операций технологического процесса (человеко-дни, человеко-часы).
Сама по себе абсолютная величина не дает полного представления об изучаемом явлении, не показывает его структуру, соотношение между отдельными частями, развитие во времени. В ней не выявлены соотношения с другими абсолютными показателями. Эти функции выполняют определяемые на основе абсолютных величин относительные показатели.
Относительный показатель в статистике – это обобщающий показатель, который дает числовую меру соотношения двух сопоставляемых абсолютных или относительных величин в пространстве (между объектами) или во времени (по одному и тому же объекту) или сравнения показателей разных свойств изучаемого объекта.
При расчете относительного показателя величина, находящаяся в числителе получаемого отношения, называется текущим или сравниваемым показателем; величина, находящаяся в знаменателе соотношения, называется основанием или базой сравнения. Таким образом, по способу получения относительные показатели – всегда величины производные (вторичные), определяемые в форме:
- коэффициентов (база сравнения принимается за 1),
- процентов – % (база сравнения принимается за 100),
- промилле – ‰ (база сравнения принимается за 1000),
- продецимилле – ‰о(база сравнения принимается за 10000) и т. п.
По содержанию выражаемых количественных соотношений выделяют следующие виды относительных величин:
1. Относительная величина динамики.
2. Относительная величина планового задания.
3. Относительная величина выполнения задания.
4. Относительные величины структуры.
5. Относительные величины координации.
6. Относительные величины сравнения.
7. Относительные величины интенсивности.
1. Относительная величина динамики.
Характеризует изменение уровня развития какого-либо явления во времени. Получается в результате деления уровня признака в определенный период или момент времени на уровень этого же показателя в предшествующий период или момент.
2. Относительная величина планового задания.
Рассчитывается как отношение уровня, запланированного на предстоящий период, к уровню, фактически сложившемуся в предшествующем периоде.
3. Относительная величина выполнения задания.
Рассчитывается как отношение фактически достигнутого в данном периоде уровня к запланированному.
4. Относительные величины структуры.
Характеризуют доли (в коэффициентах), удельные веса (в %) составных элементов в общем итоге. Совокупность относительных величин структуры показывает состав изучаемого явления.
5. Относительные величины координации.
Характеризуют отношение частей данной совокупности к одной из них, принятой за базу сравнения и показывают, во сколько раз одна часть совокупности больше другой либо сколько единиц одной части приходится на 1, 10, 100, 1000,... единиц другой части. Относительные величины координации могут рассчитываться и по абсолютным показателям, и по показателям структуры.
6. Относительные величины сравнения.
Характеризуют сравнительные размеры одноименных абсолютных или относительных показателей, относящихся к одному и тому же периоду либо моменту времени, но к различным объектам или территориям.
7. Относительные величины интенсивности.
Характеризуют степень распределения или развития данного явления в той или иной среде. Представляют собой отношение абсолютного уровня одного показателя, свойственного изучаемой среде, к другому абсолютному показателю, также присущему данной среде и, как правило, являющемуся для первого показателя факторным признаком.
1. Относительная величина динамики (изменения во времени):
ОВД=
, где
y1 – значение абсолютного показателя, соответствующему текущему моменту времени
y0 – значение того же показателя, соответствующего базисному моменту времени.
*100% – выражение в процентах
2. Относительная величина планового задания
ОВП= 
3. Относительная величина выполнения планового задания
ОВВП= y1/yпл
=
* 
=
* 
ОВД=ОВП*ОВВП – Относительная величина динамики равна произведению относительной величины плана на относительную величину выполнения плана.
4.Относительная величина структуры. Структурой называется части и целого в одной совокупности.
ОВС=
(5), где
yi - значение показателя для i-той части совокупности
yΣ - значение того же показателя для всей совокупности.
5. Относительная величина интенсивности. Она показывает соотношение различных показателей для одной и той же совокупности.
ОВИ=
(7)
ОВИ является единственным видом относительной величины, которой обладает размерностью.
6. Относительная величина наглядности (сравнения).
ОВН =
(8), где m и n разные совокупности, а x – это одноименные значения.
7. Величина координации. Она показывает соотношение одноименного показателя для разных частей одной и той же совокупности.
ОВК = 
Тема 1.5. Средние величины статистики
Наиболее распространенной формой статистических показателей, используемых в социально-экономических исследованиях, является средняя величина, представляющая собой обобщенную количественную характеристику признака в статистической совокупности в конкретных условиях места и времени. Показатель в форме средней величины выражает типичные черты и дает обобщенную характеристику однотипных явлений по одному из варьирующих признаков.
Средние величины делятся на два больших класса:
- степенные средние,
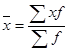
К степенным средним относятся такие наиболее известные и часто применяемые виды, как средняя геометрическая, средняя арифметическая и средняя квадратическая.
Степенные средние в зависимости от представления исходных данных могут быть простыми и взвешенными. Простая средняя считается по несгруппированным данным, взвешенная средняя – по сгруппированным данным, с учетом весов.
Виды степенных средних, область их применения и способы расчета приведены в таблице 5.
Таблица 5
| Вид средней | Область применения | Формула расчета | |
| простая | взвешенная | ||
| Арифметическая | Применяется в тех случаях, когда объем варьирующего признака для всей совокупности образуется как сумма значений признака у отдельных ее единиц | | |
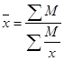
| Гармоническая | Применяется в тех случаях, когда в качестве весов используются не единицы совокупности – носители признака, а произведения этих единиц на значения признака (объемный признак): M = xf | | |
| Квадратическая | Применяется, как правило, для расчета средней величины отклонений (показатели вариации, стандартные ошибки регрессии, прогнозирования) | | |
| Геометрическая | Применяется при исчислении средней из относительных величин (средний темп роста) | | |
| Хронологическая | Применяется при расчете среднего значения моментного динамического ряда | |
Тема 1.6. Показатели вариации
Конкретные условия, в которых находится каждый из изучаемых объектов, а также особенности их собственного развития (социальные, экономические и пр.) выражаются соответствующими числовыми уровнями статистических показателей. Таким образом, вариация, т. е. несовпадение уровней одного и того же показателя у разных объектов, имеет объективный характер и помогает познать сущность изучаемого явления.
Средние показатели дают обобщающую характеристику совокупности по варьирующим признакам, показывают типичный для данных условий уровень этих признаков, но кроме этого возникает необходимость охарактеризовать:
- отклонения отдельных значений признака от средней величины;
- типичность средней, что характеризуется совокупностью всех отклонений, их распределением;
- однородность совокупности.
Для решения всех этих задач применяются показатели вариации, которые позволяют определить степень колеблемости признаков вокруг средней. Для измерения вариации в статистике применяют несколько способов.
Наиболее простым является расчет показателя размаха вариации (R) как разницы между максимальным (xmax) и минимальным (xmin) наблюдаемыми значениями признака:

Однако размах вариации показывает лишь крайние значения признака. Повторяемость промежуточных значений здесь не учитывается.
Более строгими характеристиками являются показатели колеблемости относительно среднего уровня признака:
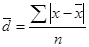
Простейший показатель такого типа – среднее линейное отклонение (
) как среднее арифметическое значение абсолютных отклонений признака от его среднего уровня:
(простое),
(взвешенное).
Но, к сожалению, этот показатель усложняет расчеты вероятностного типа, затрудняет применение методов математической статистики. Поэтому в статистических научных исследованиях для измерения вариации чаще всего применяют показатели дисперсии и среднего квадратического отклонения.
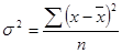
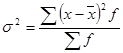
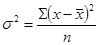
Дисперсия – средний квадрат отклонений от средней величины:
(простая),
(взвешенная).
Среднее квадратическое отклонение: 
(простое),
(взвешенное).
Для сравнения вариаций нескольких признаков по одной и той же совокупности объектов показатели вариации приводятся к сопоставимому виду. Достигается это сравнением среднего квадратического отклонения со средним уровнем того же признака. Получаемые величины называются коэффициентами вариации (V). Значения коэффициентов вариации обычно указывают в процентах. В статистике совокупности, имеющие коэффициент вариации больше 30-35 %, принято считать неоднородными.

Тема 1.7 Ряды распределения
Ряды распределения - это упорядоченная последовательность значений признака в данной совокупности.
Виды распределения:
1. Дискретные – в них значения признака в виде целых чисел.
2. Интервальные – применяют для непрерывных признаков и представляет значения в виде интервалов значений.
Характерной особенностью рядов распределения является то, что разные единицы обладают разными значениями признака – это свойство называется вариацией признака (колеблемость).
Для количественной оценки вариации признака в данной совокупности применяют показатели вариации.
Показатель вариации является количественной мерой вариации признаков в данной совокупности, для цели статистического анализа применяют несколько показателей вариации:
1. дисперсия – средний квадрат отклонений индивидуальных значений признака от средней величины, чем больше дисперсия, тем значительнее вариация признака в данной совокупности.
, если
равна 0, то вариация признака отсутствует, то есть все значения признака равны друг другу.
(взвешеная) – расчет
удобно выполнять в табличной форме.
| | | | | |
| Итог | | | |
= Итог гр.3 / Итог гр.2
= Итог гр.6 / Итог гр.2
В интервальных рядах распределения в качестве индивидуального значения признака следует принимать значение соответствующего средней середине интервала.
Дисперсия может быть представлена в другом виде, который позволяет упростить расчеты.
, таким образом
может быть представлена как разность средней из квадратов значений и значение квадрата.