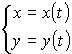
До сих пор функция записывалась в явном виде y= f(x) и в неявном F(x,y)=0. Но существует еще третий вид аналитического представления функции - это представление её в па раметрической форме в виде двух уравнений

где t - вспомогательная переменная, называемая параметром.
Заметим, что функция может быть представлена в параметрической форме различными способами.
Например, функция, записанная в неявном виде x2 + y2 = 1 может быть представлена в явном виде:
и в параметрической форм е:

Заметим, что x2 + y2 = 1 есть уравнение окружности единичного радиуса с центром в начале координат.
В первом параметрическом представлении уравнения x2 + y2 = 1 параметр t изменяется от -1 до +1 и равен абциссе подвижной точки окружности, во втором случае параметр t изменяется от 0 до 2p и равен углу, образованному радиусом подвижной точки и осью Ox.
Если функция задана в явном виде y=f(x), то всегда можно записать её в неявном виде y-f(x)=0, а также в параметрической форме

От вида F(x,y)=0 не всегда возможно перейти к виду y=f(x) или x=j (y), так как уравнение F(x,y)=0 может оказаться неразреш имым относительно y или x.
Лего перейти от параметрического представления функции к уравнению вида y=f(x). Для этого из первого уравнения x=x(t) нужно найти t=t(x), если конечно это возможно, и подставить его во второе уравнение y=y(t)
|
|
|
y=y[t(x)]=f(x)
От параметрического представления функции к уравнению вида F(x,y)=0 можно прийти путем исключения параметра t, если это возможно.
Уравнения y=f(x) и F(x, y)=0 служат различными аналитическими представлениями одной и той же функции F[x, f(x)]=0.
Параметрические уравнения

и уравнение F(x, y)=0 представляют одну и ту же функцию, если F(x(t), y(t))=0.
Наконец, параметрические уравнения определяют ту же функцию, что и уравнение y=f(x), если
y(t)=f [ x(t) ].
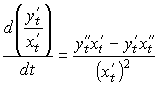
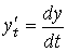
Найдем производную функции y по x в случае, когда она задана в параметрическом виде. Для этого будем рассматривать t как функцию от x. То есть t=t(x). Тогда y=y[t(x)].
Продифференцируем y как сложную функцию от x, т.е. по формуле

и применим формулу, связывающую производные обратных функций:

Введя обозначения
, 
получим

Пример.
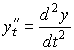
Теперь найдем вторую производную от функции, заданной в параметрической форме. Из предидущего уравнения и определения второй производной следует, что

но

Следовательно

где







