1 Целью расчета является проверка соответствия свойств материалов условию сдвигоустойчивости в дорожной одежде. При неудовлетворении требований прочности по сдвигу в материале, необходима его замена более сдвигоустойчивым или изменение конструкции.
2 Материал слоев дорожной одежды рассчитывают на сопротивление сдвигу при длительном действии горизонтальной и вертикальной нагрузки в зависимости от расчетной осевой нагрузки. Величина горизонтальной нагрузки составляет 75% от вертикальной.
За расчетную принимается температура +50оС.
3. Величина эквивалентного диаметра отпечатка колеса расчетной оси транспортного средства при приведении к ней фактических транспортных средств принимается по таблице Е.1.
Для расчета используется схема, представленная на рисунке 2.5.1.
Таблица - Величина эквивалентного диаметра отпечатка колеса расчетной оси
| Группа нагрузок | Расчетный диаметр отпечатка (сдвигоустойчивость), см |
| А1 | |
| А2 | |
| А3 |

Рисунок - Расчетная схема для определения касательных напряжений
|
|
|
По номограммам, определяют действующие касательные (t) и нормальные напряжения (s), отдельно для верхнего и нижних слоев, в зависимости от расчетного модуля упругости. При этом нормальные напряжения определяют в плоскости действия максимальных касательных. Если конструкция состоит более чем из двух слоев, то средний модуль упругости нижнего слоя (
) определяется по номограмме, а модуль упругости верхнего определяется как средневзвешенный по формуле
,
Используются
- Номограмма к определению касательных напряжений в верхнем
слое дорожной одежды
- Номограмма к определению касательных напряжений в нижних
слоях дорожной одежды
- График для определения нормальных напряжений в верхнем слое
дорожной одежды
- Номограмма к определению нормальных напряжений в нижних слоях дорожной одежды
5 Для учета горизонтальной составляющей нагрузки касательные напряжения определенные по номограммам, увеличивают в 2 раза для верхнего слоя и в 1,4 раза для нижнего, а нормальные напряжения, определенные по номограммам– в 1,7 раза для верхнего слоя и в 1,2 раза для нижнего.
При отсутствии сцепления между верхним и нижним слоем касательные напряжения, определенные по номограмме уменьшают в 2 раза.
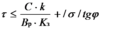
В результате должно выполняться следующее условие
,
где t иs- значения касательных и нормальных напряжений, определенные по номограммам 2.5.2 – 2.5.5;
k – коэффициент, равный 0,8;
C – внутреннее сцепление, МПа;
В р – коэффициент, принимаемый по рисунку 2.5.6 в зависимости от интенсивности воздействия транспортной нагрузки и ее вида;
|
|
|
tgj – тангенс угла внутреннего трения материала слоя дорожной одежды.

Рисунок 2.5.6 – График определения коэффициента В р
Если условие прочности не выполняется, то увеличивают толщину верхнего слоя, либо выбирают материал с другими расчетными характеристиками и повторяют расчет.
На многополосных дорогах допускается проектировать дорожную одежду переменной толщины (либо с различными свойствами материалов конструктивных слоев) по ширине проезжей части, рассчитав дорожную одежду в пределах различных полос в соответствии со значениями N р и P i(с).






