Расчетный расход – количество воды, которое будет проходить через поперечное сечение водотоков при паводках с расчетной вероятностью превыш. (ВП) ВП = 1,2,3% в зависимости от категории а.д.
Малый водоток: 1 метод. Определение расчетного расхода от таяния снега. Таяние снега может происходить под действием солнечной радиации (солярное) и при вторжении теплых масс воздуха (адвентивное):

Для РБ адвентивное таяние, сопровождающееся выпадением дождя. Величину расхода от таяния (рис.1) вычислим по фазе подъема паводка, продолжит. tп, приняв за это время толщину слоя стока hп(мм) по площади водосбора F(км2). Объем стока с этой площади:
W = hп∙F = 0,001∙hп∙1000∙1000∙F = 1000∙ hп∙ F м3
Объем стока в фазе подъема равен площади эпюры, показ. штриховкой на рис.1.

Q0 = a*Qc,

Тогда: Qc*(a+1)* tп*1800* γ = 1000∙ hп∙ F
Qс = 0,56* hп∙ F/((a+1)* tп*1,8*γ)
где F – площадь водосбора;
hп – слой стока, зависит от вида грунта на площади водосбора, а так же от климатической зоны; a – коэффициент формы гидрографа L = (0.10- 0.20) в зависимости от зоны; γ – коэффициент полноты гидрографа (γ=0,77-0,81); λ – коэф-т, учит. вер-ть превышения паводка.
tп- продолжит. фазы подъема: tп= tс+ tл;
tс-продолжительность стекания по склону;
tл- продолжительность стекания по логу: tл= 1,85*L/Q31/4 *I01/3;
L- длина главного лога, км;
I0- общий уклон главного лога;
Q3- расход которым задаются для получения расхода Qc
δл δб - уменьш. коэффициент при наличии на площади водосбора леса, болот.
2 метод. Определение расчетного расхода от ливня.
Ливень характеризуется большей интенсивностью водоотдачи

1фаза – сток отсутств. т.к. осадки впитыв. почвой и идут на смачивание растительности; 2 фаза – фаза подъема, Q увеличивается, так как доходят потоки воды с более удаленных частей водосбора.
3 фаза - полный сток – вода поступает со всей площади водосбора
4 фаза – спад
Qл – расчетный расход от ливня на малых водотоках определяется по Лебедеву
Qл = 0,56*a1р*I00/3*F*δ*λ;
Где a1р – расчетная интенсивность водоотдачи: a1р = К/(F + 0.15)0.41
К – эмпирический коэф. зависит от рельефа
F – площадь водосбора
δ – коэф. Снижения расхода на заболоченность, залесенность
δ = 1- 0,8*fл * fб* f0
fл ,fб, f0 - относит. (в долях от 1) заболоченность, залесенность
λ – коэф., зависящий от вероятности превышения расч. расхода.
Большой водоток: расчетный расход и его распределение между руслом и поймами определяем по результатам гидрометрических работ. Методы: 1.на изученной реке; 2. на неизученной.
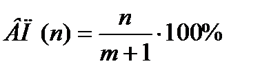
1.с помощью данных о ежегодных max уровнях на водпосту ГМС, по к-ым составляют ранжированный ряд, определяют вероятности превышения каждого члена ряда:

n-порядковый номер; m-число членов ряда.
Эти данные наносят на клетчатку вероятностей, по которой получают расчетный уровень на водпосту ГМС HГМС, далее определяют РУВВ на гидростворе: 
где LГМС - расстояние от водпоста до гидроствора; I-уклон водной поверхности реки.
Далее получают кривую связи расхода и уровня на гидростворе:
H
РУВВ
Q
Ее экстраполируют до РУВВ и получают расчетный расход Q (в русле и на пойме). Кривую получают с помощью данных водпоста.
2. Использование реки-аналога протекающей в подобных условиях климата и рельефа. Определяют высший исторический уровень (опрос старожил, по следам на местности). На реке-аналоге по данным водпоста ГМС определяют расчетный уровень и уровень в году N (год ВИУ), вычисляют расходы: расчетный на аналоге Qа и в году N QаN. На исследуемой реке определяют QВИУ с помощью морфометрических исследований. Тогда расчетный расход Q определяют по аналогии: 