Расчет жестких дорожных одежд на действие транспортной нагрузки ведут по трем критериям прочности:
1.Напряжения в цементобетонной плите, возникающие от расчетной транспортной нагрузки, не должны превышать прочности бетона на изгиб с учетом явлений усталости, неоднородности, условий работы и т.д.
2.Активные напряжения сдвига в слабосвязных слоях основания и грунте земляного полотна не должны превышать допустимых напряжений сдвига для данных материалов.
3.Упругий прогиб, возникающий под колесом автомобиля в расчетный период, не должен превышать допустимый.
Расчет жесткой дорожной одежды ведут в следующей последовательности:
1. Назначают расчетные характеристики грунта и материалов конструктивных слоев.
2. Определяют требуемую толщину дорожной одежды из условия морозозащиты.
3. Назначают толщину подстилающего слоя из условия дренирования и морозозащиты, а также слоя основания (конструктивно).
4. Расчетом определяют эквивалентный модуль упругости на поверхности основания. При этом расчетный диаметр отпечатка следа колеса увеличивают на предполагаемую толщину бетонной плиты.
5. С помощью коэффициентов приведения реальные автомобили приводят к расчетному и вычисляют суточную интенсивность расчетных автомобилей на одну полосу движения (Np).
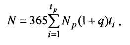
6. Вычисляют суммарное количество воздействий расчетного автомобиля на покрытие за весь срок службы дорожной одежды:

где tp -расчетный срок службы покрытия до капитального ремонта;
q -ежегодный прирост интенсивности движения в долях единицы.
7. Вычисляют расчетное значение коэффициента усталости:

|
| где D - диаметр отпечатка следа колеса расчетного автомобиля; L - упругая характеристика плиты, |
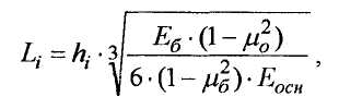
8. Задают три толщины цементобетонной плиты (h1, h2,h3) и для данных толщин вычисляют значения коэффициентов (α1, α2, α3):

где Еб- модуль упругости цементобетона;
Еосн- эквивалентный модуль на поверхности основания;
μ0 и μб- коэффициенты Пуассона основания и цементобетона соответственно.
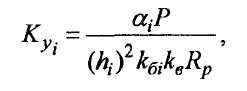
9. Определяют величины коэффициентов усталости, полагая, что напряжения в бетонной плите равны допустимым:

где kбi -коэффициент условий работы бетона, учитывающий влияние температурных напряжений, возникающих вследствие перепада температуры по толщине плиты и зависящий от района строительства и толщины плиты (чем больше толщина плиты, тем меньше коэффициент);
kв -коэффициент, учитывающий рост прочности бетона во времени;
Rp -прочность бетона на изгиб;
Р -нагрузка на колесо расчетного автомобиля.
10. Строят график зависимости коэффициента усталости от толщины плиты.

Используя данный график, находят толщину плиты, соответствующую фактическому коэффициенту усталости, вычисленному по (2).
Второе условие прочности проверяют путем сопоставления среднего критического давления (Ркр), при котором в грунте или слоях основания отсутствуют зоны сдвигов, со средним реактивным давлением, возникающим под плитой от расчетного автомобиля.