Сравнение
a + bi = c + di означает, что a = c и b = d (два комплексных числа равны между собой тогда и только тогда, когда равны их действительные и мнимые части).
Сложение
(a + bi) + (c + di) = (a + c) + (b + d) i.
Вычитание
(a + bi) − (c + di) = (a − c) + (b − d) i.
Умножение

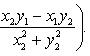
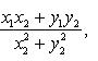
Деление

Комплексным числом z называется пара (x, y) действительных чисел x и y. При этом равенство, сумма и произведение упорядоченных пар, а также отождествление некоторых из них с действительными числами определяются следующим образом:
1) два комплексных числа z 1 = (x 1, y 1) и z 2 = (x 2, y 2) называются равными, если x 1 = x 2 и y 1 = y 2;
2) суммой комплексных чисел z 1 и z 2 называется комплексное число z вида
z = (x 1 + x 2, y 1 + y 2);
3) произведением комплексных чисел z 1 и z 2 называется комплексное число
z = (x 1 x 2 - y 1 y 2, x 1 y 2 + x 2 y 1);
4) множество комплексных чисел
, отождествляется с множеством действительных чисел R.
Разностью комплексных чисел z 1 и z 2 называется комплексное число z такое, что z 2 + z = z 1, откуда находим z = z 1- z 2 = (x 1 - x 2, y 1 - y 2).
Частным комплексных чисел z 1 и z 2 называется комплексное число z такое, что
. Отсюда находим
|
|
|

Комплексное число (0, 1) обозначается символом i = (0, 1). Тогда
, т. е. i 2 = -1. Произвольное комплексное число z можно записать в виде
z = (x, y) = (x, 0) + (0, y) = (x, 0) + (0, 1)(y, 0) = x + iy.
Эта запись называется алгебраической формой комплексного числа. Комплексное число
называется сопряженным по отношению к комплексному числу z = (x, y) = x + iy.






