Расстояние от точки до плоскости --- это наименьшее из расстояний между этой точкой и точками плоскости. Известно, что расстояние от точки до плоскости равно длине перпендикуляра, опущенного из этой точки на плоскость. Если плоскость задана уравнением
, то расстояние
от точки
до этой плоскости можно вычислить по формуле
.
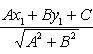
Расстояние точки A (x 1, y 1) до прямой Ax + By + C = 0 есть длина перпендикуляра, опущенного из этой точки на прямую. Она определяется по формуле

Правило. Чтобы определить расстояние точки A (x 1, y 1) до прямой Ax + By + C = 0, нужно привести уравнение прямой к нормальному виду, взять левую часть полученного уравнения и подставить в нее вместо текущих координат координаты данной точки. Абсолютная величина полученного числа и даст искомое расстояние:

Расстояние от точки до прямой есть всегда величина положительная. Кроме расстояния от точки до прямой, рассматривается еще так называемое отклонение точки от прямой.
Отклонение данной точки от данной прямой есть расстояние от этой точки до прямой, которому приписывается знак плюс, если точка и начало координат находятся по разные стороны от прямой, и знак минус, если точка и начало координат находятся по одну сторону от прямой.
Расстояние от точки до прямой есть абсолютная величина отклонения этой точки от прямой.
Вопрос 22. Эллипс и его основные свойства..
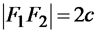
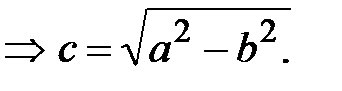
Эллипс- множество точек плоскости, для каждой из которых сумма расстояний до двух данных точек F 1 и F 2 этой плоскости, называемых фокусами эллипса, есть заданная постоянная величина, равная 2 а, а > 0, большая, чем расстояние между фокусами 2 с, с > 0.
Пусть фокусы эллипса лежат на оси Х, причем
т. е.
– межфокусное расстояние эллипса.
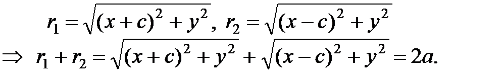
Пусть
– произвольная точка эллипса. Величины
наз-ся фокальными радиусами точки М эллипса.
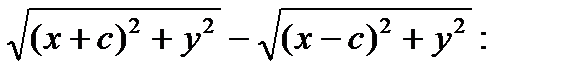
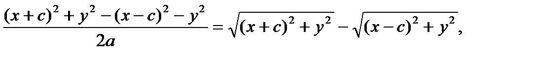
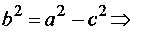
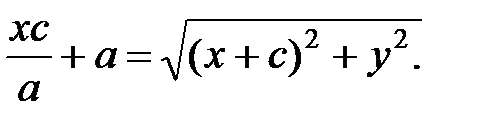
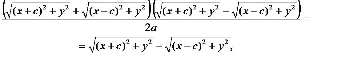
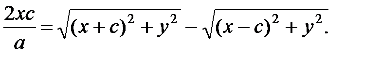
По определению эллипса: r 1 + r 2 = 2 a, а > c. Из прямоугольных треугольников, по теореме Пифагора, имеем:
(2)
Умножим (2) на 
1)
; 2) 
3)
(3)
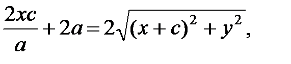
Сложим уравнения (2) и (3): 
(4)
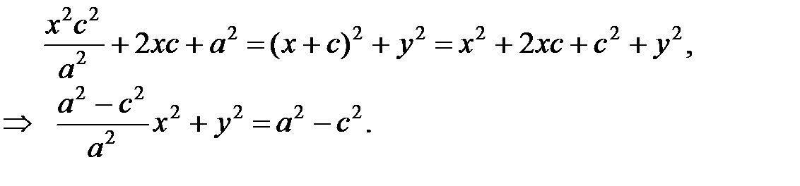
Возведем (4) в квадрат: 
Пусть 
(5)
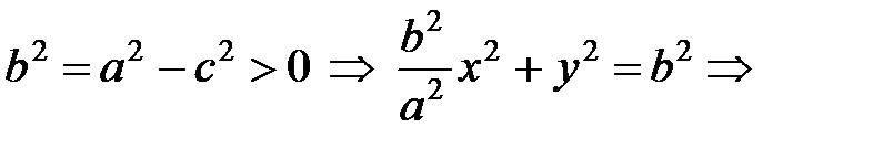
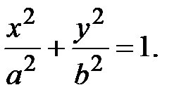
(5) – каноническое уравнение эллипса с центром в начале координат. Соответственно, уравнение 
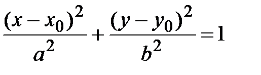
– каноническое уравнение эллипса с центром в точке 
Числа а и
наз-ся соответственно большой и малой полуосями эллипса. Заметим, что а >
, если а <
, то фокусы эллипса будут на оси Оу, если а =
, то эллипс превращается в окружность.
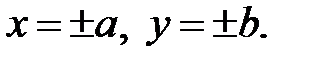
Точки
,
наз-ся вершинами эллипса. Отметим, что эллипс целиком расположен внутри прямоугольника: 
Так как
(6)
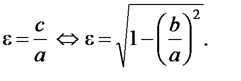
Эксцентриситетом эллипса e наз-ют отношение межфокусного расстояния 2 с к длине большой оси 2 а.
(7)
Следовательно,
причем
когда
т. е. имеем окружность.
При
стремящемся к 1 эллипс становится более вытянутым вдоль оси Ох.
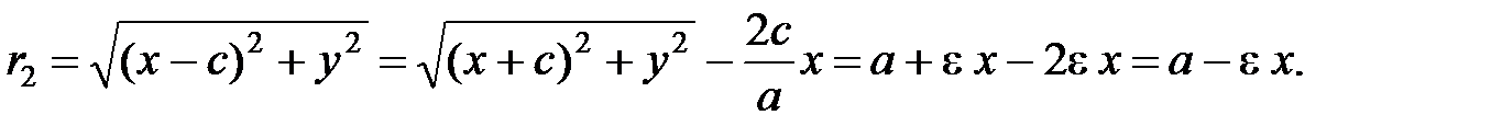
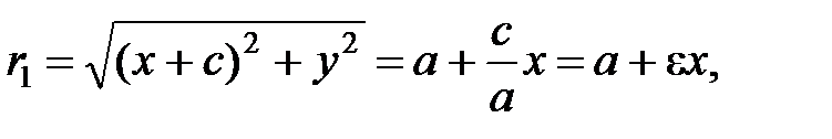
Выразим фокальные радиусы точки
через эксцентриситет. Из (4):
(8)
Из (3): 
Значит, подставив координаты точки
эллипса в уравнения (8), получаем фокальные радиусы точки М.
Прямые
называются директрисами эллипса.
– левая директриса,
– правая директриса.
Заметим, что директрисы эллипса обладают следующим важным свойством:
(9)
т. е. отношение расстояния ri от любой точки эллипса до фокуса к расстоянию di от нее до соответствующей директрисы есть величина постоянная, равная эксцентриситету эллипса.
Вопрос 23. Парабола и её основные свойства.
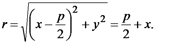
Парабола - множество точек плоскости, равноудаленных от данной точки F этой плоскости, называемой фокусом параболы, и данной прямой, называемой ее директрисой.
Построим уравнение параболы.
, а уравнение директрисы
. Число p – называется фокальным параметром параболы.
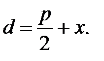
Пусть
– произвольная точка параболы. Пусть
– фокальный радиус точки M. d – расстояние от точки М до директрисы. Тогда 
По определению параболы
. Следовательно
