Углом между прямыми в пространстве будем называть любой из смежных углов, образованных двумя прямыми, проведёнными через произвольную точку параллельно данным.
Пусть в пространстве заданы две прямые:

Очевидно, что за угол φ между прямыми можно принять угол между их направляющими векторами
и
. Так как
, то по формуле для косинуса угла между векторами получим
.
Условия параллельности и перпендикулярности двух прямых равносильны условиям параллельности и перпендикулярности их направляющих векторов
и
:
Две прямые параллельны тогда и только тогда, когда их соответствующие коэффициенты пропорциональны, т.е. l 1 параллельна l 2 тогда и только тогда, когда
параллелен
.
Две прямые перпендикулярны тогда и только тогда, когда сумма произведений соответствующих коэффициентов равна нулю:
.
У гол между прямой и плоскостью
Пусть прямая d - не перпендикулярна плоскости θ;
d ′− проекция прямой d на плоскость θ;
Наименьший из углов между прямыми d и d ′ мы назовем углом между прямой и плоскостью.
Обозначим его как φ=(d,θ)
Если d ⊥θ, то (d,θ)=π/2

Oi → j → k →− прямоугольная система координат.
Уравнение плоскости:
θ: Ax + By + Cz + D =0
Считаем, что прямая задана точкой и направляющим вектором: d [ M 0, p →]
Вектор n →(A, B, C)⊥θ
Тогда остается выяснить угол между векторами n → и p →, обозначим его как γ=(n →, p →).
Если угол γ<π/2, то искомый угол φ=π/2−γ.
Если угол γ>π/2, то искомый угол φ=γ−π/2
sinφ=sin(2π−γ)=cosγ
sinφ=sin(γ−2π)=−cosγ
Тогда, угол между прямой и плоскостью можно считать по формуле:
sinφ=∣cosγ∣=∣ ∣ Ap 1+ Bp 2+ Cp 3∣ ∣ √ A 2+ B 2+ C 2√ p 21+ p 22+ p 23
Вопрос29. Понятие квадратичной формы. Знакоопределенность квадратичных форм.
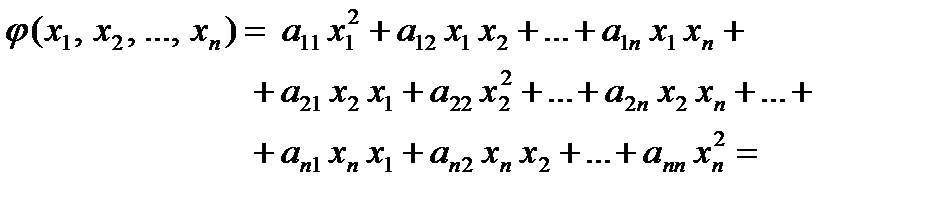
Квадратичной формой j (х1, х2, …, xn) n действительных переменных х1, х2, …, xn называется сумма вида
, (1)
где aij – некоторые числа, называемые коэффициентами. Не ограничивая общности, можно считать, что aij = aji.
Квадратичная форма называется действительной, если aij Î ГR. Матрицей квадратичной формы называется матрица, составленная из ее коэффициентов. Квадратичной форме (1) соответствует единственная симметричная матрица
Т. е. АТ = А. Следовательно, квадратичная форма (1) может быть записана в матричном виде j (х) = хТАх, где хТ = (х 1 х 2 … xn). (2)
И, наоборот, всякой симметричной матрице (2) соответствует единственная квадратичная форма с точностью до обозначения переменных.
Рангом квадратичной формы называют ранг ее матрицы. Квадратичная форма называется невырожденной, если невырожденной является ее матрица А. (напомним, что матрица А называется невырожденной, если ее определитель не равен нулю). В противном случае квадратичная форма является вырожденной.
Квадратичная форма (1) называется положительно определенной (или строго положительной), если
j (х) > 0, для любого х = (х 1, х 2, …, xn), кроме х = (0, 0, …, 0).
Матрица А положительно определенной квадратичной формы j (х) также называется положительно определенной. Следовательно, положительно определенной квадратичной форме соответствует единственная положительно определенная матрица и наоборот.
Квадратичная форма (1) называется отрицательно определенной (или строго отрицательной), если
j (х) < 0, для любого х = (х 1, х 2, …, xn), кроме х = (0, 0, …, 0).
Аналогично как и выше, матрица отрицательно определенной квад-ратичной формы также называется отрицательно определенной.
Следовательно, положительно (отрицательно) определенная квадра-тичная форма j (х) достигает минимального (максимального) значения j (х*) = 0 при х* = (0, 0, …, 0).
Отметим, что большая часть квадратичных форм не является знакоопределенными, то есть они не являются ни положительными, ни отрицательными. Такие квадратичные формы обращаются в 0 не только в начале системы координат, но и в других точках.
Когда n > 2 требуются специальные критерии для проверки знакоопределенности квадратичной формы. Рассмотрим их.
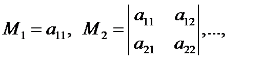
Главными минорами квадратичной формы называются миноры:

то есть это миноры порядка 1, 2, …, n матрицы А, расположенные в левом верхнем углу, последний из них совпадает с определителем матрицы А.
Критерий положительной определенности (критерий Сильвестра)
Для того чтобы квадратичная форма j (х) = хТАх была положительно определенной, необходимо и достаточно, что все главные миноры матрицы А были положительны, то есть: М 1 > 0, M 2 > 0, …, Mn > 0. Критерий отрицательной определенности Для того чтобы квадратичная форма j (х) = хТАх была отрицательно определенной, необходимо и достаточно, чтобы ее главные миноры четного порядка были положительны, а нечетного – отрицательны, т. е.: М 1 < 0, M 2 > 0, М 3 < 0, …, (–1) n