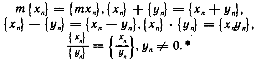
Числовые последовательности. Арифметические действия над ними. Ограниченные и неограниченные последовательности. Примеры.







Бесконечно малые и Бесконечно большие последовательности.







Сходящиеся последовательности. Определение предела последовательности. Примеры.



Основные свойства сходящихся последовательностей





Арифметические свойства сходящихся последовательностей.


Предельный переход в неравенствах (для последовательностей).


Монотонные последовательности. Примеры. Теорема о пределе монотонной ограниченной последовательности. Число e.





e — математическая константа, основание натурального логарифма
Последовательность натуральных чисел.
·
.
· Начальные отрезки:
.
· Возрастающая последовательность.
· Состоит из натуральных чисел.
· Ограничена снизу, сверху не ограничена.
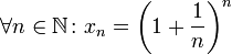
Последовательность, сходящаяся к числу e.
·
.
· Начальные отрезки:
.
· Возрастающая последовательность.
· Состоит из рациональных чисел, но сходится к трансцендентному числу.
· Ограничена с обеих сторон.






