зависимых
эндогенных
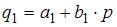
2. Модель равенства спроса и предложения, где предложение
и спрос
являются линейными функциями цены p, состоит из уравнений …



зависимых
эндогенных
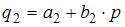
2. Модель равенства спроса и предложения, где предложение
и спрос
являются линейными функциями цены p, состоит из уравнений …



|
|