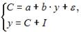
где C – личное потребление в постоянных ценах,
y – национальный доход в постоянных ценах,
I – инвестиции в постоянных ценах,
– случайная составляющая,
Установите соответствие:
(1) эндогенная переменная
(2) экзогенные переменная.
y – национальный доход в постоянных ценах
I – инвестиции в постоянных ценах
– случайная составляющая
Решение:
В модели мультипликатора-акселератора Кейнса эндогенными переменные являются переменные C (личное потребление в постоянных ценах) и y (национальный доход в постоянных ценах). А экзогенными переменными является только переменная I (инвестиции в постоянных ценах). И
является случайной составляющей.
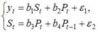
2. Дана структурная форма модели системы одновременных уравнений:
Установите соответствие между обозначением и его наименованием:
(1) 
(2) 
(3) 
ошибка модели
лаговая переменная
эндогенная переменная
структурный коэффициент






