стандартизованных
Тема 22: Классификация систем уравнений
1. При построении систем эконометрических уравнений различают три класса моделей:
(1) система независимых уравнений;
(2) система рекурсивных уравнений;
(3) система одновременных уравнений.
Отнесите предложенные модели к соответствующему классу.




Решение:
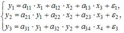
Модель, в которой
– продуктивность коров, можно назвать моделью экономической эффективности сельскохозяйственного производства. Эта модель содержит в правой части только независимые переменные, поэтому она может быть отнесена к классу «система независимых уравнений».
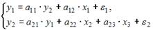
Модель, в которой
– производительность труда, может быть названа моделью производительности труда и фондоотдачи. Это модель содержит в первом уравнении только независимые переменные, а во втором уравнении в правой части встречается и зависимая переменная
; это значит, что модель можно отнести к классу «система рекурсивных уравнений».
Модель, в которой
– темп изменения месячной заработной платы, может служить моделью динамики цены и заработной платы. В правых частях обоих уравнений содержатся зависимые переменные, поэтому данная модель может быть отнесена к классу «система одновременных уравнений».
Система, в которой y – объем производства, вообще не является какой бы то ни было системой эконометрических уравнений – это система нормальных уравнений для определения параметров парной линейной регрессии.
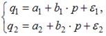
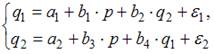
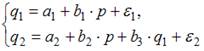
2. Изучаются модели зависимости спроса
и предложения
от цены p и прочих факторов. Установите соответствие между видом и классом эконометрических уравнений.
(1) 
(2) 
(3) 
система независимых уравнений 1
система одновременных уравнений 2
система рекурсивных уравнений 3






