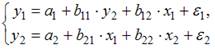
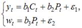
(1) 
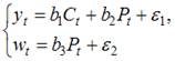
(2) 
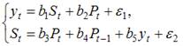
(3) 
система независимых уравнений 1
система рекурсивных уравнений 2
система одновременных уравнений 3
система нормальных уравнений
4. Установите соответствие между видом и классом системы эконометрических уравнений:
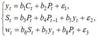
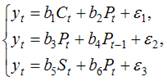
(1) 
(2) 
система одновременных уравнений с лаговыми переменными 1
система независимых уравнений 2
система одновременных уравнений без лаговых переменных
5. Установите соответствие между классом и видом системы эконометрических уравнений:
(1) система одновременных уравнений
(2) система рекурсивных уравнений
(3) система независимых уравнений




Тема 23: Идентификация систем эконометрических уравнений