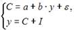
(1) 
где C – личное потребление в постоянных ценах,
y – национальный доход в постоянных ценах,
I – инвестиции в постоянных ценах
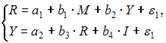
(2) 
где R – процентная ставка,
Y – ВВП,
M – денежная масса,
I – инвестиции
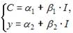
где C – личное потребление в постоянных ценах,
y – национальный доход в постоянных ценах,
I – инвестиции в постоянных ценах 
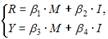
где R – процентная ставка,
Y – ВВП,
M – денежная масса,
I – инвестиции 
где C – личное потребление в постоянных ценах,
y – национальный доход в постоянных ценах,
I – инвестиции в постоянных ценах 






