По экспериментальным данным исследовать зависимость показателя y от фактора x:
1) Найти линейное уравнение регрессии и построить график;
2) По критерию Фишера проверить гипотезу о значимости уравнения регрессии на уровне значимости α=0,05;
3) По критерию Стьюдента проверить гипотезу об отсутствии влияния фактора x на показатель y (при α =0,05).
Зависимость потребительских расходов на душу населения (y) от з/п (x) по 17 регионам. Заданы средние
,
, среднеквадратические отклонения
и коэффициент корреляции
.
Решение:
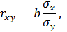
Рассчитаем b через линейный коэффициент парной корреляции:


Теперь найдем

Подставим полученные значения в уравнение прямой
, получим
.
График представлен ниже: 
Определим коэффициент детерминации:

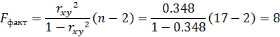
Найдем фактический критерий Фишера:

При уровне значимости
,
. В моем случае получается, что
Н0 – гипотеза о случайной природе оцениваемых характеристик отклоняется и признается их статистическая значимость и надежность.
Связь между критерием Фишера и статистикой Стьюдента выражается равенством
|
|
|

А табличное значение 
Н0 не отклоняется, т.е.
случайно отличаются от нуля и не сформировались под влиянием систематического фактора
, т.е. з/п.






