Напряжения при чистом изгибе
Чтобы использовать формулу для определения нормальных напряжений при известном изгибающем моменте, вычисленном методом сечений, необходимо знать закон распределения напряжений по сечению.(рис 1)

Рис1
Выделим двумя поперечными сечениями элемент балки длиной dz (рис2а). Действие левой и правой отброшенных частей заменим изгибающими моментами, приложенными по торцам выделенного элемента. После приложения нагрузки нейтральная ось балки искривляется, а сечения элемента поворачиваются относительно своих нейтральных линий на угол dθ (рис 2б).Длина отрезка волокон нейтрального слоя при этом останется неизменной: dz=ρdθ

Рис2а

Рис 2б
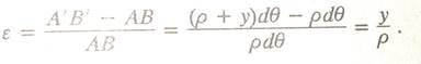
Определим относительное удлинение волокна A’B’, находящегося на расстоянии у от нейтрального слоя AB:(рис 3)

Рис3
Расчётная формула для нормальных напряжений:
δ=(Mx / Ix)y,
где у- расстояние от нейтральной оси до точки, в которой определяется напряжение
Ix - момент инерции сечения относительно его нейтральной оси.
Формула получена для случая чистого изгиба. Однако экспериментальные и теоретические исследования показывают, что она может быть распространена и на случай поперечного изгиба.






