Осевые моменты инерции- взятая по всей площади сечения сумма произведений площадей элементарных площадок на квадраты расстояний от них до этой оси. Рис 1

Рис1
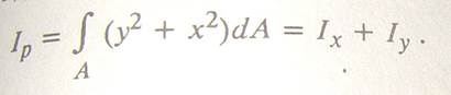
Полярный момент инерции сечения определяют по формуле рис 2

Рис2
Где р- расстояние от площадки dA до точки, относительно которой вычисляется полярный момент инерции, Следовательно(Рис 3)

Рис3
Моменты инерции, содер. Под интегралом координаты во второй степени, всегда положительные. Центробежный момент инерции содержит произведение координат в перв степени и в зависимости от положения осей может быть положительным, отрицательным или равным нулю.
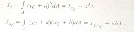
Значения моментов инерции зависят от положения осей координат.Можно установить след зависимость между моментами инерции при параллельном переносе осей координат(рис 4)

Рис4
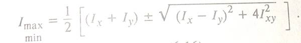
Ось Cx Cy являются центральными. Главные оси и главные моменты инерции. При повороте осей координат на некоторый угол a относительно точки О(рис 5) значения осевых моментов инерции изменяются, но их сумма остаётся постоянной: Ix1+Iy1=Ix+Iy=const.

Рис 5
Главными осями инерции сечения –наз. Оси, относительно которых центробежный момент инерции сечения равен нулю, а осевые моменты инерции экстремальные значения.Главные оси, проходящие через центр тяжести сечения, наз. его главными центральными осями.
Для симметричных сечений оси их симметрии являются главными осями инерции.
Положение главных осей инерции относительно других осей определяют, используя соотношение (рис6)

Рис6
Осевые моменты инерции относительно главных осей называются главными моментами инерции. (рис 7)
