Алгебраическая сумма э.д.с. в любом контуре цепи равна алгебраической сумме падений напряжения на элементах этого контура:
.
Обход контура совершается в произвольно выбранном направлении, например по ходу часовой стрелки. При этом соблюдается следующее правило знаков для э.д.с. и падений напряжения, входящих в (2): э.д.с. и падения напряжения, совпадающие по направлению с направлением обхода, берутся с одинаковыми знаками.
Например, для данной схемы
.Уравнение (2) можно переписать так:
. Здесь и — е — напряжение на ветви.
Следовательно, алгебраическая сумма напряжений на ветвях в любом замкнутом контуре равна нулю.
Формулы (1) и (2) написаны в общем виде для мгновенных значений токов, напряжений и э.д.с; они справедливы для цепей как переменного, так и постоянного тока.
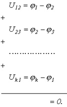
Под напряжением на некотором участке электрической цепи понимается разность потенциалов между крайними точками этого участка, т.е.
| (4) |
Просуммируем напряжения на ветвях некоторого контура:

Поскольку при обходе контура потенциал каждой i -ой точки встречается два раза, причем один раз с “+”, а второй – с “-”, то в целом сумма равна нулю.
|
|
|
Таким образом, второй закон Кирхгофа математически записывается, как:
| (5) |
- и имеет место следующую формулировку: алгебраическая сумма напряжений на зажимах ветвей (элементов) контура равна нулю. При этом при расчете цепей с использованием законов Кирхгофа записывается
независимых уравнений по второму закону Кирхгофа, т.е. уравнений, записываемых для контуров, каждый из которых отличается от других хотя бы одной ветвью. Значение топологического понятия “дерева”: дерево позволяет образовать независимые контуры и сечения и, следовательно, формировать независимые уравнения по законам Кирхгофа. Таким образом, с учетом (m-1) уравнений, составленных по первому закону Кирхгофа, получаем систему из
уравнений, что равно числу ветвей схемы и, следовательно, токи в них находятся однозначно.
Введем столбцовую матрицу напряжений ветвей
| U= | |
Тогда второй закон Кирхгофа в матричной форме записи имеет вид
| BU = 0. | (6) |
В качестве примера для схемы рис. 5 имеем
,
откуда, например, для первого контура получаем
,
что и должно иметь место.
Если ввести столбцовую матрицу узловых потенциалов
= | |
причем потенциал последнего узла
, то матрица напряжений ветвей и узловых потенциалов связаны соотношением
U=AТ | (7) |
где AТ - транспонированная узловая матрица.
Для определения матрицы В по известной матрице А = А Д А С, где А Д – подматрица, соответствующая ветвям некоторого дерева, АС - подматрица, соответствующая ветвям связи, может быть использовано соотношение В = (-А ТС А -1ТД 1).
|
|
|
=