Длина вектора

x, y - координаты вектора
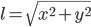
Длина пространственного вектора

x, y, z - координаты вектора
Скалярное произведение векторов

a, b - длины векторов
α - угол между векторами
Скалярное произведение векторов через координаты

x1, y1 - координаты первого вектора
x2, y2 - координаты второго вектора
Скалярное произведение пространственных векторов через координаты

x1, y1, z1 - координаты первого вектора
x2, y2, z2 - координаты второго вектора
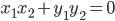
Скалярное произведение вертикальных векторов

x1, y1 - координаты первого вектора
x2, y2 - координаты второго вектора
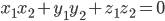
Скалярное произведение пространственных вертикальных векторов

x1, y1, z1 - координаты первого вектора
x2, y2, z2 - координаты второго вектора
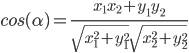
Угол между векторами

α - угол между векторами
x1, y1 - координаты первого вектора
x2, y2 - координаты второго вектора
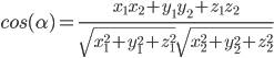
Угол между пространственными векторами

α - угол между векторами
x1, y1, z1 - координаты первого вектора
x2, y2, z2 - координаты второго вектора
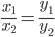
Коллинеарные векторы

x1, y1 - координаты первого вектора
x2, y2 - координаты второго вектора
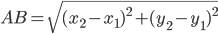
Расстояние между точками

x1, y1 - координаты первой точки
x2, y2 - координаты второй точки
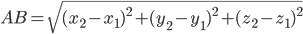
Расстояние между точками в пространстве

x1, y1, z1 - координаты первой точки
x2, y2, z2 - координаты второй точки
Найти площадь треугольника, координаты вершин которого известны: A (-2, 1, 2); B (3, -3, 4); C (1, 0, 9).
Решение.
Рассмотрим векторы
и
. Площадь треугольника ABC есть половина площади параллелограмма, построенного на векторах
и
. Площадь параллелограмма, построенного на векторах
и
, есть модуль векторного произведения
, а потому площадь треугольника ABC есть

Найти векторное произведение
, а потом половину его модуля.
Проекции векторов
и
на координатные оси найдем по формулам (6):





По формуле (27) для векторного произведения векторов найдем, что

Модуль вектора
найдем по формуле (4):


SABC = 19,787 кв. ед.






