У відновних дисахаридів глікозидний зв'язок утворюється за рахунок напівацетальної (глікозидної) гідроксильної групи одного і будь-якої спиртової гідроксильної групи (частіше у С4) іншого моносахариду. При цьому в молекулі залишається одна вільна напівацетальна гідроксильна група, внаслідок чого дисахарид зберігає здатність до цикло-оксо- таутомерїі, а тому виявляє відновні властивості. У свіжоприготованих розчинах таких дисахаридів спостерігається явище мутаротації. Представниками відновних дисахаридів є мальтоза, целобіоза та лактоза.
Мальтоза (солодовий цукор). Молекула мальтози складається з двох залишків D -глюкопіранози, зв'язаних 1,4-глікозидним зв'язком. При цьому залишок глюкози, аномерний атом вуглецю котрого бере участь в утворенні глікозидного зв'язку, знаходиться в α-формі, а залишок глюкози з вільною напівацетальною гідроксильною групою може мати α-конфігурацію (α-мальтоза) або β-конфігурадію (β-мальтоза).
Таким чином, α-мальтоза може бути названою як 4-О-(α- D -глюкопіранозидо)-α- D -глюкопіраноза, а β-мальтоза – 4-О-(α- D -глюкопіранозидо)-β- D -глюкопіраноза. Мальтоза є відновним дисахаридом. У розчині існує в декількох таутомерних формах – α- та β-циклічній і альдегідній.
|
|
|


Розчини мальтози мутаротують і дають позитивну реакцію з реактивом Толленса і реактивом Фелінга. За участю альдегідної форми мальтоза вступає в характерні для моносахаридів реакції з фенілгідразином, гідроксиламіном, ціановодневою кислотою. При окисненні за м'яких умов, наприклад, бромною водою, мальтоза перетворюється на мальтобіонову кислоту:

За рахунок напівацетального гідроксилу мальтоза утворює глікозиди:

За участю циклічних форм мальтоза, аналогічно моносахаридам, утворює прості та складні ефіри по всіх гідроксильних групах:

Мальтоза міститься у невеликих кількостях в деяких рослинах, утворюється при ферментативному гідролізі крохмалю. Вона легко розчиняється у воді, водні розчини солодкі на смак. В організмі людини мальтоза розщеплюється ферментом мальтазою до D -глюкози.
Целобіоза. Молекула целобіози, як і мальтози, складається з двох залишків D -глюкопіранози. зв'язаних 1,4-глікозидним зв'язком. Але, на відміну від мальтози, у молекулі целобіози залишок глюкози, напівацетальний гідроксил якого бере участь в утворенні глікозидного зв'язку, має β-конфігурацію. Залишок глюкози з вільною напівацетальною групою, аналогічно мальтозі, може мати α- та β-конфігурацію. У відповідності з цим розрізняють α- та β-целобіозу.
Виходячи з хімічної структури, α-целобіоза має ще назву – 4-О-(β- D -глюкопіранозидо)-α- D -глюкопіраноза, а β-целобіоза – 4-О-(β- D -глюкопіранозидо)-β- D -глюкопіраноза.
|
|
|
Целобіоза є відновним дисахаридом. її розчини виявляють мутаротацію, дають позитивну реакцію з реактивами Толленса та Фелінга. При окисненні целобіози за м'яких умов утворюється целобіонова кислота. Целобіоза вступає також у багато які інші реакції, властиві відновним дисахаридам (див. с 152).
Целобіоза і мальтоза мають різну просторову будову. У молекулі мальтози α-глікозидний зв'язок розташований аксіально, а в молекулі целобіози β-глікозидний зв'язок – екваторіально.
Така просторова структура мальтози є причиною клубкоподібної будови амілози (складова частина крохмалю), а просторова структура целобіози – причиною лінійної будови целюлози.


Целобіоза є безбарвною кристалічною речовиною, легко розчинною у воді. Вона не розщеплюється в організмі людини і тому не може бути використаною в якості продукту харчування.
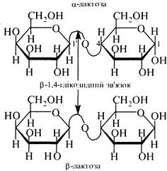
Лактоза (молочний цукор). Молекула лактози складається з залишків D -галактопіранози та D -глюкопіранози, сполучених 1,4-глікозидним зв'язком. В утворенні глікозидного зв'язку бере участь напівацетальний гідроксил D -галактопіранози, що має β-конфігурацію. Залишок D -глюкопіранози може мати α- та β-конфігурацію, у зв'язку з чим розрізняють α- та β-лактозу. а-Лактоза може бути названою як 4-О-(β- D -галактопіранозидо)-α- D -глюкопіраноза, а β-лактоза – як 4-О-(β- D -галактопіранозидо)-β- D -глюконіраноза. Просторова будова лактози подібна до будови целобіози, тобто β-глікозидний зв'язок розміщений екваторіально.

Лактоза є відновним дисахаридом. У розчині вона існує в декількох таутомерних формах – альдегідній, α- та β-циклічних. У зв'язку з цим розчини лактози мутаротують і дають позитивну реакцію з реактивом Толленса та реактивом Фелінга. При окисненні лактози за м'яких умов утворюється лактобіонова кислота. Лактоза міститься в молоці. Вона не піддається спиртовому бродінню, має у 4-5 разів меншу солодкість, ніж сахароза. При кислотному або ферментативному гідролізі лактози утворюється D -глюкоза та D -галактоза. Лактоза виявляє низьку гігроскопічність, застосовується у фармації при виготовленні порошків і таблеток.






