Гомополісахариди, побудовані з залишків пентоз, називаються пентозанами, а з залишків гексоз – гексозанами. Загальна формула пентозанів – (С5Н8О4)n, а гексозанів – (С6Н10О5)n. Переважна більшість природних полісахаридів – гексозани; до них відносяться: крохмаль, целюлоза, глікоген, декстрани та ін.
Крохмаль. Крохмаль служить основним джерелом резервної енергії в рослинах; зустрічається головним чином у насінні, бульбах і корінні.
Крохмаль містить приблизно 20% розчинної у воді фракції, яку називають амілозою, і близько 80% нерозчинної фракції, що називається амілопектином. При поступовому кислотному та ферментативному гідролізі амілоза й амілопектин розщеплюються до декстринів (суміш полісахаридів з меншою молекулярною масою), подальший гідроліз яких приводить до мальтози, а потім до D -глюкози:

Різницю в будові амілози і амілопектину зумовлено характером глікозидних зв'язків.
Амілоза – лінійний полімер, у котрому D -глюкопіранозні залишки сполучені α-1,4-глікозидним зв'язком; складається з 200-350 мономерних ланок:
|
|
|

Молекулярна маса амілози складає приблизно 40000. її молекули гнучкі та можуть набувати різних просторових форм. У присутності комплексоутворювачів, наприклад, йоду, вона може існувати у вигляді спіралі, в кожному витку котрої міститься шість залишків глюкози. Розмір внутрішньої порожнини спіралі дозволяє розміститися в ній молекулі йоду, що приводить до утворення забарвленого на синій колір комплексу. На цій властивості крохмалю основане його використання у фармацевтичному аналізі в якості індикатора.
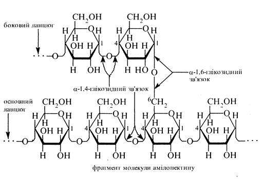
Амілопектин – полімер розгалуженої структури, котрий може вміщувати 1000 і більше залишків D -глюкози в молекулі. Молекулярна маса амілопектину досягає 1-6 млн. Всі ланцюги полісахариду основний та бокові – побудовані однотипно: залишки глюкози в них сполучені а-1,4-глікозидним зв'язком. Бокові відгалуження зв'язані з основним ланцюгом α-1,б-глікозидним зв'язком. Між двома сусідніми точками розгалуження основний ланцюг вміщує 20-25 моносахаридних залишків:

В зв'язку з наявністю великого числа відгалужень молекула амілопектину не здатна набувати конформації спіралі та зв'язує йод лише в незначній кількості з утворенням червоного забарвлення.
Крохмаль служить основним джерелом вуглеводів у харчовому раціоні людини. Фермент амілаза, який міститься у слині, розщеплює α-глікозидні зв'язки крохмалю до декстринів і частково – до мальтози, подальший розпад яких до глюкози відбувається у кишечнику. У фармації крохмаль використовується у виробництві таблеток, а також для виготовлення присипок і паст.
|
|
|
Глікоген (тваринний крохмаль). Якщо у більшості рослин резервним полісахаридом є крохмаль, то в тваринних організмах цю функцію виконує глікоген. Цей полісахарид забезпечує організм глюкозою при підвищених фізичних навантаженнях і в час між прийманням їжі.
Глікоген побудований аналогічно до амілопектину, але являє собою ще більш розгалужену структуру. Зв'язок глюкопіранозних залишків у основному та бокових ланцюгах α-1,4; а в місцях розгалуження – α-1,6. Між точками розгалуження міститься 10-12, рідше – 2-4 моносахаридних залишків. Молекулярна маса глікогену варіює і може досягати декількох мільйонів. На відміну від більшості інших резервних полісахаридів глікоген добре розчинний у воді.
Сильна розгалуженість ланцюгів глікогену сприяє атаці його ферментами з різних боків одночасно. Ця обставина приводить до надзвичайно високої швидкості розщеплення полісахариду та. відповідно, можливості майже миттєвої мобілізації вміщених у ньому енергетичних запасів.
Найбагатші на глікоген печінка та м'язи.
Целюлоза. Целюлоза широко розповсюджений у природі полісахарид, який є складовою частиною оболонок рослинних клітин. До складу деревини входить від 50 до 70 %, а до складу бавовна до 98 % целюлози. Молекула целюлози являє собою лінійний ланцюг, який складається з залишків D -глюкопіранози, сполучених між собою β-1,4-глікозидними зв'язками:

Молекулярна маса целюлози коливається від 250000 до 1000000 при вмісті не менше 1500 залишків глюкози.
Целюлоза не розчиняється у воді та звичайних органічних розчинниках, але розчиняється в аміачному розчині гідроксиду міді (реактив Швейцера) і концентрованому розчині хлориду цинку.
При нагріванні з мінеральними кислотами целюлоза гідролізується за схемою:

Людина та вищі тварини не мають ферменту, котрий гідролізував би β-глікозидні зв'язки целюлози, проте вона є необхідним баластним компонентом їжі, що поліпшує травлення.
Молекула целюлози має строго впорядковану конформацію «жорсткого стрижня», у котрій глюкопіранозні залишки розміщені лінійно.

Таке розміщення залишків у просторі зумовлено тим, що глікозидний атом кисню і атом кисню при С4 зв'язані з піранозним циклом екваторіально. Лінійна конформація молекули закріплюється внутрішньомолекулярними водневими зв'язками.
Паралельно укладені ланцюги полісахариду утримуються за рахунок-утворення міжмолекулярних водневих зв'язків. Через таку будову целюлоза хімічно порівняно інертна (нерозчинна у воді, важко гідролізується) і має високу механічну міцність. Целюлоза не розщеплюється ферментами шлунково-кишкового тракту і тому не засвоюється, але вона є необхідним для нормального харчування баластним компонентом їжі.
Важливе практичне значення мають похідні целюлози. Наявність трьох вільних спиртових груп у кожному глюкозидному залишку целюлози дає можливість одержувати її складні ефіри. Так. при обробці целюлози сумішшю азотної та сірчаної кислот утворюються нітрати целюлози. Властивості та можливості застосування цих продуктів залежать від ступеня нітрування. Суміш моно- та динітратів називають колодійною ватою, або колоксиліном. її використовують для виготовлення колодію, застосовуваного в медицині для фіксації пов'язок. Продукт повного нітрування целюлози (тринітрат целюлози, тринітроклітковина, піроксилін) є вибуховою речовиною, використовуваною у виробництві бездимного пороху. Велике народногосподарське значення має діацетат целюлози, що використовують у виробництві ацетатного шовку, а також ксантогенат целюлози, котрий застосовують для добування віскозного волокна та целофану. Натрієва сіль карбоксиметилцелюлози застосовується у виробництві лікарських препаратів.
|
|
|
Декстрини. Декстрани це полісахариди бактеріального походження, побудовані з залишків α- D -глюкопіранози. Добувають їх з сахарози при участі бактерій Lcuconostoc mcscntcroides. Основним типом зв'язку в декстранах є α-1,б-глікозидний зв'язок, а у точках розгалуження α-1,4- і α-1,3-глікозидні зв'язки:

Молекулярна маса декстранів складає декілька мільйонів. Частково гідролізовані декстрани (м.м. 40000-800000) використовують у фармації у виробництві плазмозамінників «поліглюкін» і «реополіглюкін».
Інулін. Інулін — резервний полісахарид, який міститься у бульбах
складноцвітих та інших рослин. Молекула інуліну має лінійну будову та складається з залишків β- D -фруктофуранози, сполучених 2,1-глікозидними зв'язками, і закінчується α- D -глюкопіранозним залишком (як у сахарози). Молекулярна маса його звичайно не більша 6000.
Інулін виділяють з бульб жоржини екстракцією з гарячою водою. Використовується для добування D -фруктози.
Пектинові речовини. До пектинових речовин (пектинів) відносять полісахариди, в основі будови котрих лежить полігалактуронова (пектова) кислота, побудована з залишків α- D -галактуронової кислоти, сполучених між собою 1,4-глікозидними зв'язками. Частина карбоксильних груп полігалактуронової кислоти етерифікована та знаходиться у вигляді метилового ефіру.

Водні розчини пектинів здатні утворювати стійкі гелі.
Пектини містяться практично в усіх наземних рослинах і деяких водоростях. Вони знайшли широке застосування у харчовій промисловості для виготовлення желе, мармеладу, тому що з сахарозою у присутності органічних кислот утворюють драглі.
Деякі пектинові речовини виявляють противиразкову дію і є основою ряду лікарських препаратів.






