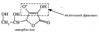
Аскорбінова кислота (вітамін С, γ-лактон 2,3-дегідро- L -гулонової кислоти). Водорозчинний вітамін, який міститься в багатьох овочах і фруктах. Нестача вітаміну С в їжі викликає захворювання цингу, а також зменшує опірність організму до інфекційних захворювань. Аскорбінова кислота – сильний відновний агент; при окисненні перетворюється на дегідроаскорбінову кислоту, котра, у свою чергу, здатна вельми легко відновлюватися до аскорбінової кислоти.

Роль вітаміну С в організмі пов'язана з його участю в окисно-відновних процесах, вуглеводному обміні, у регенерації тканин, у синтезі стероїдів та ін.
Аскорбінова кислота виявляє сильні кислотні властивості (рКα 4,2), що пов'язано з дисоціацією однієї з гідроксильних груп ендіольного фрагмента:

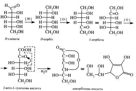
В промисловості аскорбінову кислоту добувають з D -глюкози:

Потреба у вітаміні С для людини 50-70 мг за добу.
Нейрамінова кислота (3,5-дидезокси-5-амінононулонова кислота). Є похідним моносахариду кетононози – нонулози. У природі нейрамінова кислота найчастіше зустрічається у вигляді N- і О-ацильованих похідних, об'єднаних загальною назвою – сіалові кислоти (ацильним фрагментом звичайно є залишки оцтової або гліколевої кислот).
|
|
|
Сіалові кислоти – структурні компоненти глікопротеїдів, специфічних речовин крові та тканин, гангліозидів мозку.






