Этот метаболический путь назван именем открывшего его автора – Г. Кребса, получившего (совместно с Ф. Липманом) за данное открытие в 1953 г. Нобелевскую премию. В цикле лимонной кислоты улавливается большая часть свободной энергии, образующейся при распаде белков, жиров и углеводов пищи. Цикл Кребса – центральный путь обмена веществ.
Образовавшийся в результате окислительного декарбоксилирования пирувата ацетил-КоА в матриксе митохондрий включается в цепь последовательных реакций окисления. Таких реакций восемь.
1-я реакция – образование лимонной кислоты. Образование цитрата происходит путем конденсации ацетильного остатка ацетил-КоА с оксалацетатом (ОА) при помощи фермента цитратсинтазы (с участием воды):

Данная реакция практически необратима, поскольку при этом распадается богатая энергией тиоэфирная связь ацетил~S-КоА.
2-я реакция – образование изолимонной кислоты. Эта реакция катализируется железосодержащим (Fe – негеминовое) ферментом – аконитазой. Реакция протекает через стадию образования цис -аконитовой кислоты (лимонная кислота подвергается дегидратации с образованием цис -аконитовой кислоты, которая, присоединяя молекулу воды, превращается в изолимонную).

3-я реакция – дегидрирование и прямое декарбоксилирование изолимонной кислоты. Реакция катализируется НАД+–зависимым ферментом изоцитратдегидрогеназой. Фермент нуждается в присутствии ионов марганца (или магния). Являясь по своей природе аллостерическим белком, изоцитратдегидрогеназа нуждается в специфическом активаторе – АДФ.

4-я реакция – окислительное декарбоксилирование α-кетоглутаровой кислоты. Процесс катализируется α-кетоглутаратдегидрогеназой – ферментным комплексом, по структуре и механизму действия похожим на пируватдегидрогеназный комплекс. В его состав входят те же коферменты: ТПФ, ЛК и ФАД – собственные коферменты комплекса; КоА-SH и НАД+ – внешние коферменты.

5-я реакция – субстратное фосфорилирование. Суть реакции заключается в переносе богатой энергией связи сукцинил-КоА (макроэргическое соединение) на ГДФ с участием фосфорной кислоты – при этом образуется ГТФ, молекула которого вступает в реакцию перефосфорилирования с АДФ – образуется АТФ.

6-я реакция – дегидрирование янтарной кислоты сукцинатдегидрогеназой. Фермент осуществляет прямой перенос водорода с субстрата (сукцината) на убихинон внутренней мембраны митохондрий. Сукцинатдегидрогеназа - II комплекс дыхательной цепи митохондрий. Коферментом в этой реакции является ФАД.

7-я реакция – образование яблочной кислоты ферментом фумаразой. Фумараза (фумаратгидратаза) гидратирует фумаровую кислоту – при этом образуется яблочная кислота, причем ее L -форма, так как фермент обладает стереоспецифичностью.

8-я реакция – образование оксалацетата. Реакция катализируется малатдегидрогеназой, коферментом которой служит НАД+. Образовавшийся под действием фермента оксалацетат вновь включается в цикл Кребса и весь циклический процесс повторяется.

Последние три реакции обратимы, но поскольку НАДН?Н+ захватывается дыхательной цепью, равновесие реакции сдвигается вправо, т.е. в сторону образования оксалацетата. Как видно, за один оборот цикла происходит полное окисление, “сгорание”, молекулы ацетил-КоА. В ходе цикла образуются восстановленные формы никотинамидных и флавиновых коферментов, которые окисляются в дыхательной цепи митохондрий. Таким образом, цикл Кребса находится в тесной взаимосвязи с процессом клеточного дыхания.
Функции цикла трикарбоновых кислот многообразны:
· Интегративная – цикл Кребса является центральным метаболическим путем, объединяющим процессы распада и синтеза важнейших компонентов клетки.
· Анаболическая – субстраты цикла используются для синтеза многих других соединений: оксалацетат используется для синтеза глюкозы (глюконеогенез) и синтеза аспарагиновой кислоты, ацетил-КоА – для синтеза гема, α-кетоглутарат – для синтеза глютаминовой кислоты, ацетил-КоА – для синтеза жирных кислот, холестерола, стероидных гормонов, ацетоновых тел и др.
· Катаболическая – в этом цикле завершают свой путь продукты распада глюкозы, жирных кислот, кетогенных аминокислот – все они превращаются в ацетил-КоА; глутаминовая кислота – в α-кетоглутаровую; аспарагиновая – в оксалоацетат и пр.
· Собственно энергетическая – одна из реакций цикла (распад сукцинил-КоА) является реакцией субстратного фосфорилирования. В ходе этой реакции образуется одна молекула ГТФ (реакция перефосфорилирования приводит к образованию АТФ).
· Водороддонорная – при участии трех НАД+-зависимых дегидрогеназ (дегидрогеназ изоцитрата, α-кетоглутарата и малата) и ФАД-зависимой сукцинатдегидрогеназы образуются 3 НАДН?Н+ и 1 ФАДН2. Эти восстановленные коферменты являются донорами водорода для дыхательной цепи митохондрий, энергия переноса водородов используется для синтеза АТФ.
· Анаплеротическая – восполняющая. Значительные количества субстратов цикла Кребса используются для синтеза разных соединений и покидают цикл. Одной из реакций, восполняющих эти потери, является реакция, катализируемая пируваткарбоксилазой.
Скорость реакция цикла Кребса определяется энергетическими потребностями клетки
Скорость реакций цикла Кребса коррелирует с интенсивностью процесса тканевого дыхания и связанного с ним окислительного фосфорилирования – дыхательный контроль. Все метаболиты, отражающие достаточное обеспечение клетки энергией являются ингибиторами цикла Кребса. Увеличение соотношения АТФ/АДФ – показатель достаточного энергообеспечении клетки и снижает активность цикла. Увеличение соотношения НАД+/ НАДН, ФАД/ ФАДН2 указывает на энергодефицит и является сигналом ускорения процессов окисления в цикле Кребса.
Основное действие регуляторов направлено на активность трех ключевых ферментов: цитратсинтазы, изоцитратдегидрогеназы и a-кетоглутаратдегидрогеназы. Аллостерическими ингибиторами цитратсинтазы являются АТФ, жирные кислоты. В некоторых клетках роль ее ингибиторов играют цитрат и НАДН. Изоцитратдегидрогеназа аллостерически активируется АДФ и ингибируется при повышении уровня НАДН+Н+.

Рис. 5.15. Цикл трикарбоновых кислот (цикл Кребса)
Последний является ингибитором и a-кетоглутаратдегидрогена зы, активность которой снижается также при повышении уровня сукцинил-КоА.
Активность цикла Кребса во многом зависит от обеспеченности субстратами. Постоянная “утечка” субстратов из цикла (например, при аммиачном отравлении) может вызывать значительные нарушения энергообеспеченности клеток.
Пентозофосфатный путь окисления глюкозы обслуживает восстановительные синтезы в клетке.
Как видно из названия, в этом пути образуются столь необходимые клетке пентозофосфаты. Поскольку образование пентоз сопровождается окислением и отщеплением первого углеродного атома глюкозы, то этот путь называется также апотомическим (apex – вершина).
Пентозофосфатный путь можно разделить две части: окислительную и неокислительную. В окислительной части, включающей три реакции, образуются НАДФН?Н+ и рибулозо-5-фосфат. В неокислительной части рибулозо-5-фосфат превращается в различные моносахариды с 3, 4, 5, 6, 7 и 8 атомами углерода; конечными продуктами являются фруктозо-6-фосфат и 3-ФГА.
· Окислительная часть. Первая реакция –дегидрирование глюкозо-6-фосфата глюкозо-6-фосфатдегидрогеназойс образованием δ-лактона 6-фосфоглюконовой кислоты и НАДФН?Н+ (НАДФ+ – кофермент глюкозо-6-фосфатдегидрогеназы).

Вторая реакция – гидролиз 6-фосфоглюконолактона глюконолактонгидролазой. Продукт реакции – 6-фосфоглюконат.
Третья реакция – дегидрирование и декарбоксилирование 6-фосфоглюконолактона ферментом 6-фосфоглюконатдегидрогеназой, коферментом которого является НАДФ+. В ходе реакции восстанавливается кофермент и отщепляется С-1 глюкозы с образованием рибулозо-5-фосфата.

· Неокислительная часть. В отличие от первой, окислительной, все реакции этой части пентозофосфатного пути обратимы (рис5.16)

Рис.5.16.Окислительная часть пентозофосфатного пути (F-вариант)
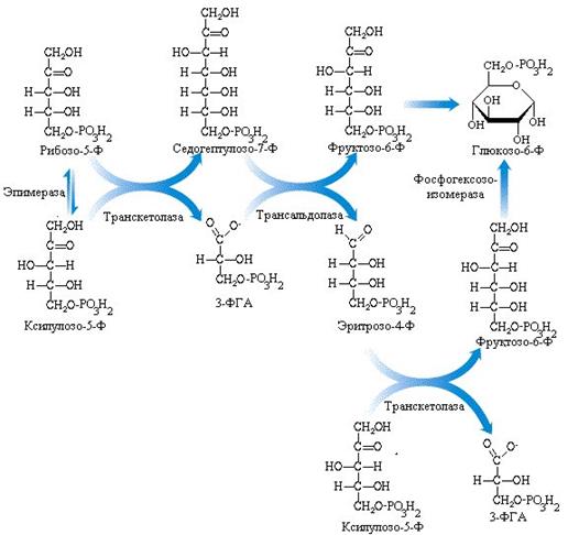
Рибулозо-5-фосфат может изомеризоваться (фермент – кетоизомераза) в рибозу-5-фосфат и эпимеризоваться (фермент – эпимераза) в ксилулозо-5-фосфат. Далее следуют два типа реакций: транскетолазная и трансальдолазная.
Транскетолаза (кофермент – тиаминпирофосфат) отщепляет двухуглеродный фрагмент и переносит его на другие сахара (см. схему). Трансальдолаза переносит трехуглеродные фрагменты.
В реакцию вначале вступают рибозо-5-фосфат и ксилулозо-5-фосфат. Это – транскетолазная реакция: переносится 2С-фрагмент от ксилулозо-5-фосфата на рибозо-5-фосфат.
Затем два образовавшиеся соединения реагируют друг с другом в трансальдолазной реакции; при этом в результате переноса 3С-фрагмента от седогептулозо-7-фосфата на 3-ФГА образуются эритрозо-4-фосфат и фруктозо-6-фосфат.Это F-вариант пентозофосфатного пути. Он характерен для жировой ткани.
Однако реакции могут идти и по другому пути(рис.5.17).Этот путь обозначается как L-вариант. Он протекает в печени и других органах. В этом случае в трансальдолазной реакции образуется октулозо-1,8-дифосфат.

Рис.5.17. Пентозофосфатный (апотомический) путь обмена глюкозы (октулозный, или L-вариант)
Эритрозо-4-фосфат и фруктозо-6-фосфат могут вступать в транскетолазную реакцию, в результате которой образуются фруктозо-6-фосфат и 3-ФГА.
Общее уравнение окислительной и неокислительной частей пентозофосфатного пути можно представить в следующем виде:
Глюкозо-6-Ф + 7Н2О + 12НАДФ+ 5 Пентозо-5-Ф + 6СО2 + 12 НАДФН?Н+ + Фн.






