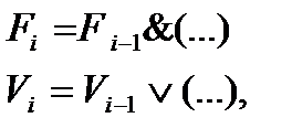
Анализ поисковых функций показывает, что в общем случае их общий вид определяется следующими зависимостями:

Многоточие в скобках отражает семантику реализации конкретной поисковой операции. Использование логических связок & и v, обладающих свойствами коммутативности, ассоциативности и дистрибутивности позволяет рекурсивно применить функцию саму к себе.

В этом случае меняется внешний вид функции в сторону их параллельной реализации.
Таким образом, вместо последовательной организации вычисления поисковой функции складывается возможность параллельной организации по всем видам ячеек памяти.
При такой организации время поиска не зависит ни от n-количества ячеек, ни от m-разрядности ячеек, а представляет собой некоторую константную величину.






