Дифференциал функции — понятие столь же часто используемое в математике как и производная.
Теорема о дифференцируемой функции
теорема
Чтобы функция f(x) была дифференцируема в точке хо, необходимо и достаточно выполнения равенства:
(*)
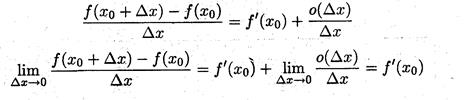
Достаточность
Докажем, что если формула (*) выполняется, то функция дифференцируема, т.е. имеет производную. Поделим формулу (*) на Δх, тогда

Необходимость
Исходим из определения производной. Поскольку







