

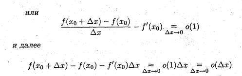
что и требовалось доказать.
Вопрос: Что является эквивалентной приращению функции?
* Эквивалентной приращению функции является произведение производной функции на приращение аргумента, т.е.

* Приращение аргумента тождественно равно дифференциалу аргумента.
— дифференциал аргумента
Вопрос: Как выразится производная функции через дифференциалы функции и аргумента?
* Производная функции равна частному дифференциалов функции и аргумента.
-производная функции
Задача 2
Самостоятельно показать, что дифференциалы суммы, произведения и частного двух дифференцируемых функций определяются следующими формулами:







