Задача1
Выяснить геометрический смысл дифференциала.

Дифференциал и приближённое вычисление

___
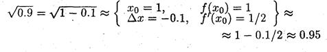
Пример 1. Вычислить Ö0.9.

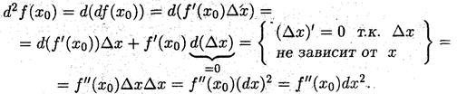
Производные и дифференциалы высших порядков
* Производной или дифференциалом второго порядка называется производная производной или дифференциал дифференциала первого порядка.

Задача 3
Выразить дифференциал и производную n -го порядка.

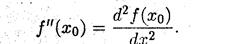
В последнем равенстве круглые скобочки подразумеваются: это тот редкий случай, когда математики пишут одно, а подразумевают другое. Отсюда

Методом математической индукции можно показать, что

Задача 4
Проверить инвариантность формы дифференциала первого порядка.
