Тема 15.
Прогнозирование и интерполяция.
Прогнозирование (экстраполяция) – это определение будущих размеров экономического явления.
Интерполяция – это определение недостающих показателей уровней ряда.
Наиболее простым методом прогнозирования является расчет средних характеристик роста (средний абсолютный прирост, средний темп роста и т.д.) и перенесение их на будущие даты. Прогнозирование на основе аналитического выравнивания является наиболее распространенным методом.
Задачи статистики в изучении связи. Взаимосвязанные признаки и их классификация.
Задачи статистики состоят в выявлении связи, определении ее направления и ее измерении. Наиболее же общая задача – это прогнозирование и регулирование социально-экономических явлений на основе полученных представлений о связях между явлениями.
Статистика рассматривает экономический закон как существенную и устойчивую связь между определенными явлениями и процессами. Познавая связи, статистика познает законы. А их знание позволяет управлять общественным развитием. Основой изучения связей является качественный анализ.
Различают два вида признаков:
1. Факторные – те, которые влияют на изменение других процессов.
2. Результативные – те, которые изменяются под воздействием других признаков.
Виды и формы связей, различаемые в статистике.
В статистике связи классифицируются по степени их тесноты. Исходя из этого различают функциональную (полную) и статистическую (неполную, корреляционную) связь.
Функциональная связь – такая связь, при которой значение результативного признака целиком определяется значением факторного (например, площадь круга). Она полностью сохраняет свою силу и проявляется во всех случаях наблюдения и для всех единиц наблюдения. Каждому значению факторного признака соответствует одно или несколько определенных значений результативного признака.
Для корреляционной связи характерно то, что одному и тому же значению факторного признака может соответствовать сколько угодно различных значений результативного признака. Здесь связь проявляется лишь при достаточно большом количестве наблюдений и лишь в форме средней величины.
По направлению изменений факторного и результативного признака различают связь прямую и обратную.
Прямая связь – такая связь, при которой с изменением значений факторного признака в одну сторону, в ту же сторону меняется и результативный признак.
Обратная связь – такая связь, при которой с увеличением (уменьшением) факторного признака происходит уменьшение (увеличение) результативного признака.
По аналитическому выражению выделяются две основные формы связи:
· прямолинейная (выражается уравнением прямой);
· криволинейная (описывается уравнениями кривых линий – гипербол, парабол, степенных функций).
Методы изучения связей
Описательные (механические) методы
К ним относятся: (1) метод приведения параллельных рядов,
(2) балансовый метод,
(3) графический метод,
(4) метод аналитической группировки.
Наибольший эффект достигается при комбинировании нескольких методов.
(1) Метод приведения параллельных рядов.
Приводится ряд данных по одному признаку и параллельно с ним – по другому признаку, связь с которым предполагается. По вариации признака в первом и втором ряду судят о наличии связи признаков. Такой метод позволяет вывести только направление связи, но не измерить ее.
(2) Балансовый метод.
Взаимосвязь может быть также охарактеризована с помощью балансов.
Пример: межрайонная связь.
| Р-н приб. Р-н отпр. | А | Б | В | Г | Итого отправлено |
| А | |||||
| Б | |||||
| В | |||||
| Г | |||||
| Итого прибыло |
(3) Графический метод.
Может использоваться как самостоятельно, так и совместно с другими методами.
Если конкретные данные перенести на график, то полученное изображение называется полем корреляции. На оси абсцисс откладывается значение факторного признака, а на оси ординат – результативного. Каждая единица, обладающая определенным значением факторного и результативного признака, обозначается точкой.
Беспорядочное расположение говорит об отсутствии связи. Наоборот, чем сильнее связь, тем теснее точки группируются вокруг определенной линии.
(4) Метод аналитической группировки.
Сначала выбираются два признака: факторный и результативный. По факторному признаку производится группировка, а по результативному – подсчет средних или относительных величин.
Путем сопоставления характера изменений значений факторного и результативного признака можно сделать вывод о наличии связи и ее направлении. При помощи метода аналитической группировки можно сделать вывод и о тесноте связи.
Пример: среднегодовая з/п работников-текстильщиков в 1849 г.
| Группы предприятий по числу работников | З/п в рублях |
| более 1000 | |
| 501– 1000 | |
| 101 – 500 | |
| 51 – 100 | |
| 24 – 50 | |
| менее 20 |
Это основные методы изучения связи. Они делятся на непараметрические и параметрические.
Непараметрические.
Их еще называют ранговыми методами. Они связаны с расчетами различных коэффициентов. Применяются как отдельно, так и совместно с параметрическими. Особенно эффективны непараметрические методы, когда необходимо измерить связь между качественными признаками. Они проще в вычислении и не требуют никаких предположений о законе распределения исходных статистических данных, т.к. при их расчете оперируют не самими значениями признаков, а их рангами, частотами, знаками и т.д.
Коэффициент Фехнера (коэффициент совпадения знаков)
| x | y |
| x1 x2 x3 . . . xn | y1 y2 y3 . . . yn |
| х = хi - х | y = yi - y |
| – + + – + + – | + + – – + – + |
Расчет основан на применении первых степеней отклонений значений признака от среднего уровня ряда двух связанных признаков.
| i = | кол-во совпадений – кол-во несовпадений |
| общее количество отклонений |
| i = | 3 – 4 | = – | |
Коэффициент совпадения знаков может принимать значения от –1 до +1. Чем ближе значение коэффициента к |1|, тем связь более тесная. Знак коэффициента говорит о направлении, величина – о силе связи.
Коэффициенты ассоциации и контингенции. Используются для измерения связи между двумя качественными признаками, состоящими только из двух групп.
| ..... | ..... | Итого | |
| ..... | a | b | a + b |
| ..... | d | c | c + d |
| Итого | a + c | b + d | a + b+ c+ d |
| Оценка Посещение | Неудовлетв. | Положит. | Итого |
| Посещали | |||
| Не посещали | |||
| Итого |
– коэфф. ассоциации;
– коэфф. контингенции.
Коэффициент контингенции всегда меньше коэффициента ассоциации. Связь считается подтвержденной, если А0,5 или К0,3.
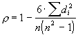
Коэффициент Спирмана (ранговый коэффициент) Рассчитывается по следующей формуле:
.
| № п/п | Себестоимость единицы прод. | Средняя з/п | Ранги | di = Rz - Rf | di2 | |
| Rz | Rf | |||||
| 1. | 68,8 | 168,5 | -3 | |||
| 2. | 70,2 | 158,7 | ||||
| 3. | 71,4 | 171,7 | -1 | |||
| 4. | 78,5 | 183,9 | ||||
| 5. | 66,9 | 160,4 | ||||
| 6. | 69,7 | 165,2 | -1 | |||
| 7. | 72,3 | 175,0 | -1 | |||
| 8. | 77,5 | 170,4 | ||||
| 9. | 65,2 | 162,7 | -2 | |||
| 10. | 70,7 | 163,0 | ||||
| Итого |
Коэффициент Спирмана может принимать значения от –1 до +1, причем чем ближе значение коэффициента к |1|, тем связь более тесная. Знак коэффициента говорит о направлении связи.
Непараметрические. Главным параметрическим методом является корреляционный. Он заключается в нахождении уравнения связи, в котором результативный признак зависит только от интересующего нас фактора (или нескольких факторов). Все прочие факторы, также влияющие на результат, принимаются за постоянные средние.
Удобной формой изучения связи является корреляционная таблица. В этой таблице одни признаки располагаются по строкам, а другие – в колонках. Числа, стоящие на пересечении строк и колонок, показывают, сколько раз встречается данное значение факторного признака с данным значением результативного.
Рассмотрим следующую схему:
| К-во станков Час. прод. | 3-5 | 5-7 | 7-9 | 9-11 | fy |
| 10-15 | |||||
| 15-20 | |||||
| 20-25 | |||||
| 25-30 | |||||
| 30-35 | |||||
| fx |
По такой таблице можно сделать выводы (1) о том, существует ли связь, (2) о ее направлении и (3) о ее интенсивности (при условии
существования связи).
В указанных уравнениях величина результативного признака представляет собой функцию только одного фактора х. Все прочие факторы приняты за постоянную и выражены параметром а0.
Таким образом, при выравнивании фактические значения у заменяются значениями, вычисленными по уравнению. Поскольку все факторы, определяющие у, являются постоянными средними величинами, постольку и выровненные значения (ух) являются средними величинами (
).
Параметры а1 (а в уравнении параболы и а2) называются коэффициентами регрессии. В корреляционном анализе эти параметры показывают меру, в которой изменяется у при изменении х на одну единицу.
При линейной зависимости коэффициент регрессии а1 называется также коэффициентом пропорциональности. Он положителен при прямой зависимости, отрицателен – при обратной.
Параметр же а0 показывает влияние на результативный фактор множества неучтенных факторов.
Уравнение регрессии имеет большую ценность, поскольку позволяют экстраполировать показатели связи за пределы исследованных данных.
Корреляционное отношение для выровненных значений результативного признака рассчитывается так же, как и для значений, полученных на основе группировок.
В этом случае вся вариация результативного признака за счет всех факторов обозначается Вариация результативного признака за счет всех факторов, кроме х, равна Вариация за счет интересующего нас фактора х равна разности Дисперсия, характеризующая величину вариации за счет фактора х, может быть рассчитана непосредственно как Отсюда Данное корреляционное отношение применяется во всех случаях изучения связи для оценки ее тесноты независимо от формы связи (прямолинейной или криволинейной).
Для прямолинейной связи может быть преобразовано в специальный линейный коэффициент корреляции Значение его колеблется от –1 до +1. Знак говорит о направлении, а величина – о тесноте связи.