ДУ теплопроводности явл-ся у-нием энергии и есть аналитическое решение у-ния температурного поля:
. Для вывода предполагают, что темп-ное поле 3-х мерное, не стационарное. Теплофизические св-ва в пределах
и
постоянны.


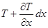
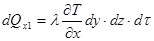
кол-во теплоты, воспринимаемая грань dydz – вдоль оси х:

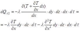
Кол-во теплоты, выходящее из элементарного объема вдоль направления оси х: 
Разница подведенного и отведенного тепла в элементарный объем, за счет теплопроводности, в направлении оси х будет равным:
.
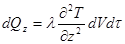
Аналогично в направлении оси у и z:


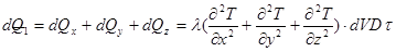
Тогда полное кол-во тепла, подведенное к элементарному объему, по виду 3 направлений, за счет теплопроводности равняется:
.
В скобках стоит оператор Лапласа второго порядка по т-ре:
.
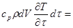
Помимо теплоты, подведенное к элементарному объему теплопроводности, теплота м.б. подведена и за счет внутренних источников теплоты (эл. ток или ядерная р-ция). Мощ-ть этих источников обозначим через qv, Вт/м³, тогда общее кол-во теплоты, подведенное теплопровод-ностью dQ1 и за счет внутренних источников теплоты:
С другой стороны вся теплота, подведенная за счет теплопроводности и от внутренних источников теплоты, идет на увел-ние энтальпии и теплосодержания этого элементарного объема: 
Приравнивая, получаем: 
.
(2.5)
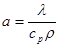
, м²/с., где а – коэф. температуропроводности, а – хар-ет скорость изменения т-ры в единицы объема тела. Этот физ. пар-р дается в таблицах, хар-ет теплоинерциальные св-ва.
(2.6) - диф. у-ние теплопроводности с учетом внутренних источников теплоты и есть решения у-ния:
. Показывает распределение т-ры в пр-се и во времени и описывает бесчисленное множество пр-сов теплопроводности. При отсутствии внутренних источников теплоты:
. (2.7).
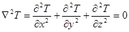
Для стационарного температурного поля:
, т.е. т-ра не меняется во времени, а меняется только в пр-ве и у-ние теплопроводности Фурье
, превращается в у-ние Лапласа:
.
Описывает 3-х мерное стационарное тепмературное поле. У-ние 2.5 – 2.7 диф. у-ние 2-го порядка, которые описывают бесчисленное множество пр-сов теплопроводности. Для того чтобы решить конкретную задачу теплопроводности, нужно к этим у-ниям добавить условие однозначности, которое конкретизирует задачу теплопроводности.
Условия однозначности включают в себя: геометрические, физические, начальные и граничные условия.
Граничные условия м.б. 4 родов. I рода – теплопроводность, III рода – теплопередача.
Граничные условия – хар-ют условия теплообмена на границе раздела тела с о.с.